
레드-블랙 트리는 이진 탐색 트리의 하나로 일반적인 이진 트리와의 가장 큰 차이점은 “좌우 균형을 유지하는 이진 검색 트리”라는 점이다.
일반적인 이진 검색 트리의 경우 한 쪽으로 치우진 경우 트리의 높이가 최악의 경우에 N이기 때문에 시간복잡도가 O(N)까지 높아지게 된다.

즉, 이진 검색 트리의 시간복잡도는 트리의 높이 H에 비례하므로 높이를 logN으로 유지해줘야 모든 연산의 시간복잡도를 O(logN)으로 유지할 수 있다.
레드-블랙 트리는 5가지 특성을 가지고 있으며, 어느 상황에서도 아래 5가지 조건을 만족해야 한다.
💡 부모나 자식 노드가 없는 경우 각 필드는 NIL* 값을 가진다.
NIL은 NULL Pointer와 개념이 같으며 이름만 다르게 쓰는 것이다. Objective-C의 유산이라고 한다.
5번의 조건이 잘 이해되지 않을 수 있다. 다음 그림을 통해 확실하게 이해하고 넘어가보자.

위의 그림에서
case 1 : 13 → 8 → 11(b) → NIL(b) : 총 2개의 black노드를 거침
case 2 : 13 → 8 → 1(b) → 6 →NIL(b) : 총 2개의 black노드를 거침
case 3: 13 → 17 → 25(b) → 22 → NIL(b) : 총 2개의 black노드를 거침
root에서 NIL 까지 가는 모든 경로상에서 만난 black노드의 수가 같다.
레드블랙트리 코드에서는 노드가 자식이 없을 때 (노드.left = NIL, 노드.right= NIL 과 같은 노드) 노드의 NIL 자식을 표현하기 위해 경계노드를 이용한다. 아래 그림의 NIL이 쓰인 BLACK 노드들이 바로 레드블랙트리 세번째 조건에서 말하는 리프(NIL)들이다. 이렇게 경계노드를 이용함으로써 노드의 NIL 자식을 정상적인 자식 노드와 동일하게 다룰 수 있게 된다. 경계노드 nil도 다른 노드들과 똑같이 key, 색(color), 부모 노드(p), 왼쪽 자식노드(left), 오른쪽 자식노드(right) 필드를 가지지만 그 값들은 의미가 없다.

레드블랙트리의 예시
하지만 이렇게 수많은 NIL을 각각 표현하는 것은 메모리 낭비이다. 따라서 레드블랙트리 코드에서는 여러 NIL을 한번에 표현하기 위해 하나의 경계노드(sentinal) T.nil을 사용한다. NIL을 자식으로 갖는 모든 노드는 경계노드 T.nil를 가리킨다. (아래 그림 참고)

모든 NIL을 하나씩 표현하지 않고, T.nil이라는 하나의 경계노드로 표현하였다.
이해를 돕기 위해 경계노드를 포함하여 레드블랙트리를 그렸지만, 실제로 레드블랙트리에서 경계노드가 가진 필드 값은 중요치 않으므로 트리를 그릴 때 경계노드는 포함하지 않도록 한다.
Left-Rotation(자회전)과 Right-Rotation(우회전)이 있다.
그림을 통해 쉽게 확인 가능하다.

시간복잡도는 O(1)이며, 이진탐색트리의 특성을 그대로 유지한다.
sudo 코드
Left-Rotate(T, x)
y <- right[x] // set y
right[x] <- left[y] // x의 오른쪽 자식을 y의 왼쪽 자식으로 지정
p[left[y]] <- x // β의 부모를 y에서 x로 변경
p[y] <- p[x] // x의 부모가 y의 부모노드가 됨
if p[x] = nil[T] // 만약 x의 부모가 NIL이라면, 즉 x가 root라면
    then root[T] <- y // y가 새로운 tree의 root가 됨
    else if x = left[p[x]] // x가 x의 부모의 왼쪽 자식이라면
        then left[p[x]] <- y // y가 x부모의 왼쪽 자식이 되고
        else right[p[x]] <- y // y가 x부모의 오른쪽 자식이 되고
left[y] <- x // x와 y를 연결
p[x] <- y
sudo 코드
RB-Insert(T, z) // z는 insert할 node
y <- nil[T]
x <- root[T]
while x ≠ nil[T] // x가 null이 아닌동안 계속
    do y <- x
        if key[z] < key[x]
            then x <- left[x]
            else x <- right[x]
p[z] <- y // 새로운 node를 y의 자식에 insert
if y = nil[T] // y가 null인 경우. 즉, 현재 tree가 비어있는 경우
    then root[T] <- z // z가 root가 된다.
    else if key[z] < key[y] // 원래 tree가 비어있지 않은경우
        then left[y] <- z;
        else right[y] <- z;
left[z] <- nil[T] // 삽입 후 leaf node가 되니, 양쪽 자식을 NIL로 설정
right[z] <- nil[T]
color[z] <- RED // 삽입된 z의 색은 red로
RB-Insert_Fixup(T, z)
새로 삽입할 노드 z를 red로 칠해준다.
삽입이후에 우리의 tree는 RB tree의 조건 5가지를 만족해야 한다. 이를 확인해 보자.
1) 성립한다.
2) 만약 z가 root 노드라면 위반, 아니면 조건2는 성립한다.
새로 추가한 노드는 red 니까 보통의 경우에는 성립한다. 하지만, 원래 tree가 비어있는 경우 red가 root위치하게 된다. 이럴 때는 간단하게 그냥 root를 black으로 변경해주면 끝난다.
3) 성립한다.
4) 문제가 된다! 새로 삽입한 z의 부모y가 black이면 상관이 없는데, red이면 조건 위반이다. 다음 그림처럼 말이다.

이런 red-red 충돌을 수정해주기 위해서 추가적인 RB-Insert_Fixup 이라는 함수를 호출해줘야 한다.
5) 성립한다.
▶ RB-Insert_Fixup 의 구현
우선 RB-Insert_Fixup 가 언제 종료되고, 언제 필요한지를 확인해보자.
조건 2 위반, z가 root이면서 red인 경우.
조건 4 위반, z와 그 부모 p[z]가 둘다 red인 경우.
부모노드 p[z]가 black이면 종료한다. 조건 2가 위반일 경우 z를 그냥 black 으로 변경해주면 끝난다.
총 3가지 case 가 insert에서 존제하게 된다.
참고로 case1,2,3 은 모두 pz가 pp[z] 의 왼쪽 자식인 경우들 이다.
case 4,5,6은 p[z]가 p[p[z]]의 오른쪽 자식은 경우로, 그냥 좌우만 바꿔주면 된다. 따라서 case 1,2,3만 설명하겠다.
case 1 : z의 삼촌 y가 red인 경우

B노드가 우리가 새롭게 삽입한 z이다. 이 z는 A의 오른쪽 자식일수도 있고, 왼쪽 자식 일수도 있다.
위의 그림에서 A와 B가 red-red 충돌이 발생하고있고, z의 삼촌 y(D)가 red인 상황이다.
이는 A와 D를 black으로, 할아버지 C는 red로 변경해주면 A와 B 의 red-red충돌은 해결이 되었다.
하지만 완벽한 해결이 아니다. 왜냐하면 할아버지 노드인 C가 red가 되면 p[c]와 red-red 충돌이 발생할 수 있기 때문이다.
다만 이렇게 색을 변경해 주면, red-red 충돌의 문제가 위로 2칸 이동해 있음을 알수있다.
즉, A-B의 문제가 C-p[C] 간의 문제로 이동하였다. 이렇게 쭉 root까지 이동하게 되면 결국 마지막에는 root의 색만 그냥 black으로 변경해주면 끝나버린다.
또한 조건 5인 black height 또한 바뀌지 않는다. 색 변경 전이나, 변경후 모두 NIL 노드 까지 가는 경로의 black node의 수는 동일하다. C위에서 오던 중이라 생각하고 아래로 내려가면서 black의 수를 새보면 똑같다.
참고로 αβγδε 의 경우 부모가 red이니까 이들은 black이다. 연속된 red는 불가능 하니까 이는 당연하다.
case 2, 3 : z의 삼촌 y가 Black인 경우

삼촌 y는 NIL node도 가능하기 때문에 검정 동그라미로 표현하지는 않았다. 어찌됬든 black이 라고 생각하면 된다.
p[z]에 대하여 left-rotation한 후, 원래 pz를 z로 변경한다. 이후 case 3으로 진행한다.
pz를 black, pp[z]를 red로 바꿈, 이후 pp[z]에 대하여 right-rotation을 진행. 최종 결과가 나온다.
지금까지의 설명한 RB-Insert_Fixup함수의 sudo코드를 확인해 보자.
RB-Insert-Fixup(T, z) // z는 새로 삽입하는 node
    while color[p[z]] = RED
        do if p[z] = left[p[p[z]]] // 할아버지의 왼쪽 자식이 Z의 부모인 동안, 즉 case 1,2,3
            then y <- right[p[p[z]]] // 삼촌 y를 설정
                if color[y] = RED // case 1의 경우
                    then color[p[z]] <- black // z의 부모를 black으로
                         color[y] <- black // 삼촌도 black으로
                         color[p[p[z]]] <- RED // 할아버지는 red로
                         z <- p[p[z]] // 할아버지를 새로운 Z로 설정
                else if z = right[p[z]] // 내가 내 부모의 오른쪽 자식인 경우
                    then z <- p[z] // 내 부모를 z로 설정 // case2
                        Left-Rotate(T, z)
                    color[p[z]] <- Black // case3
                    color[p[p[z]]] <- RED
                    Right-Rotate(T, p[p[z]])
        else (same as then clause with "right" and "left" exchanged)
color[root[T]] <- BLACK
▶ Insert의 시간 복잡도
RB-Insert_Fixup
case1 의 경우 z가 2 level만큼 상승한다. case2,3 의 경우 상수시간이 걸린다. 따라서 트리의 높이에 비례하는 시간이 걸린다.
왜냐하면 최악의 겨우 case1이 계속 반복되어 root까지 red-red충돌을 올려야 할수도있다. 최종적으로 root까지 도달하면 root의 색만 black으로 변경해주면 된다. 따라서 최악의 경우는 높이에 해당할 것 이다.
시간복잡도는 O(logN)에 해당하게 된다.
마지막으로 insert의 예시를 확인해보자. 흰색 노드가 red이다.

sudo 코드를 통해 우선 확인해보자. 마자막을 제외하고는 BST(이진탐색트리)의 삽입과 동일하다.
참고로 다음 코드에서 나오는 successor 라는 함수는 삭제할 y의 바로 다음값,
즉 트리의 원소들을 오름차순으로 배열했을 때 y 바로 값을 의미한다.
예를 들어 tree의 모든 원소들을 오름차순으로 배열했을때 1, 2, 5, 7(y), 8, 11 순으로 있다면, y의 successor는 8에 해당한다.
RB-Delete(T, z) // z는 삭제할 노드의 주소. 이미 search는 완료된 상태
if left[z] = nil[T] or right[z] = nil[T] // 삭제할 노드 z의 자식이 하나 이하인 경우
    then y <- z // y가 실제로 삭제할 node가 된다.
    else y <- Tree-Successor(z)
if left[y] ≠ NIL // 왼쪽 자식이 존제한다면
    then x <- left[y]
    else x <- right[y]
if x ≠ NIL // 자식이 있는경우
    then p[x] <- p[y] // y의 부모가 x의 부모가 됨
if p[y] = NIL // y가 root라면
    then root[T] <- x // x가 root가 되어야 함
    else if y = left[p[y]] // y가 자신의 부모의 왼쪽 자식이라면
        then left[p[y]] <- x
        else right[p[y]] <- x
if y ≠ Z // 원래 삭제하려는 z와 y가 다른경우
    then key[z] <- key[y] // y의 successor의 data를 z로 옮김
         copy y's satellite data into z
if color[y] = BLACK
    then RB-Delete-Fixup(T, x)
return y
실제로 삭제된 노드 y가 red였다면 그냥 종료하면된다. red는 연속할수가 없으니, red의 자식과 부모는 black일 것 이며 따라서 중간의 red를 지워도 black-black의 연속은 문제되지 않는다.
하지만! y가 black이였다면 RB-Delete-Fixup을 호출해줘야 한다. 이는 다음 그림을 보면 좀더 이해갈 것 이다.
(y는 삭제할 노드이고, x는 y의 자식이다.)

중간의 black노드를 삭제하면 red-red충돌이 발생하여 조건4를 위반하게 된다.
또한 조건(5) 의 문제도 추가적으로 생긴다. 갑자기 중간에 black 하나가 사라졌지 않는가?
이 두가지 문제를 해결해주기 위해 RB-Delete-Fixup을 호출해 준다.
삭제 이후에 우리의 tree는 RB tree의 조건 5가지를 만족해야 한다. 이를 확인해 보자.
1) 성립한다.
2) y가 root였고, x가 red인 경우 위반이다.
y가 삭제되고 나면 그자리를 x가 차지한다. 즉 x가 root 된 것 이다. 하지만 x의 색은 red이다. root는 red가 될 수 없다. 이는 간단하게 새롭게 root가 된 x의 색을 black으로 변경해주면 끝난다.
3) 성립한다.
4) p[y]와 x가 모두 red일 경우 성립하지 않는다. 이는 바로 직전에서 보인 그림의 경우에 해당한다.
5) 원래 y(black)를 포함했던 모든 경로는 이제 black노드가 하나 부족하다.

위의 그림을 보면 검정 노드가 하나 삭제되어 black height가 문제되는데, 이를 막고자 한노드에 2개의 black 노드를 삽입했다고 우선 생각하자.
▶ RB-Delete-Fixup 의 구현
아이디어

이를 그림으로 확인해 보면 다음과 같다. 가장 상단이 root 라고 생각하자.

Loop Invariant (함수가 도는동안의 불변의 조건)
총 4가지 case 가 Delete에서 존제하게 된다.
참고로 case1,2,3,4 는 모두 x가 부모의 왼쪽 자식인 경우들 이다.
case 5,6,7,8은 x가 부모의 오른쪽 자식은 경우로, 그냥 좌우만 바꿔주면 된다. 따라서 case 1,2,3,4 만 설명하겠다.
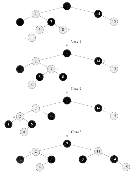
case 1 : w가 red인 경우

w의 자식들은 black이다. 이들은 NIL일수가 없다. NIL인 경우 조건 5에 위배된다.
이후 w(D)를 black으로 변경해 준후, px를 red로 변경한다. 이후 p[x]를 기준으로 left-rotation을 적용한다.
기존의 w의 자식이였던 C는 B의 자식으로 편입되었다.
이후 case 2, 3, 4로 진행된다.
case 2 : w가 Black, w의 자식들도 Black
회색 노드는 Black일수도 있고, Red일수도 있다.

x의 extra-black을 px에게 전달하고, w를 red로 바꾼다. px를 새로운 x로 지정한다.
만약 case1에서 이 경우에 도착했다면 p[x]는 red였고, 따라서 새로운 x는 red&black이 되었다. 그냥 black으로 변경 후 끝.
case 3 : w는 Black, w의 왼쪽자식이 red

w를 red로 변경한고 w의 왼쪽 자식을 black으로 변경한다. 이후 w에 대하여 right-rotation 을 적용한다.
x의 새로운 형제 w는 오른쪽 자식이 red이다. 이는 case4에 해당하는 상황이다.
case 4 : w는 Black, w의 오른자식이 red

w와 B의 색을 교환(w의 색을 현재 px의 색으로 변경, B의 색을 w의색인 black으로변경),
w의 오른쪽 자식(E)을 black으로 변경
p[x]에 대하여 left-rotation 적용후, x의 extra black을 제거한후 종료한다. (따라서 black height 유지 가능)
지금까지의 설명한 RB-Delete-Fixup함수의 sudo코드를 확인해 보자.
RB-Delete-Fixup(T, x) // x는 실제로 삭제한 y의 자식 노드
while x ≠ root[T] and color[x] = Black
    do if x = left[p[x]] // 노드 x가 자신의 부모의 왼쪽 자식인 경우
        then w <- right[p[x]] // 노드 x의 형제를 w라고 한다.
            if color[w] = RED // 그 형제가 red인 경우 : case 1
                then color[w] <- Black
                     color[p[x]] <- RED
                     Left-Rotate(T, p[x])
                     w <- right[p[x]] // 새로운 w 지정
            if color[left[w]] = Black and color[right[w]] = Black // w의 두 자식이 black인 경우
                then color[w] <- RED // w를 red로 변경
                    x <- p[x] // p[x]가 새로운 x가 됨.
                else if color[right[w]] = Black // w의 오른쪽 자식이 Black인 경우
                    then color[left[w]] <- Black // 색 교환
                        color[w] <- Red
                        Right-Rotate(T, w)
                        w <- right[p[x]] // w가 p[x]의 새로운 오른쪽 자식이됨
                    color[w] <- color[p[x]]
                    color[p[x]] <- Black
                    color[right[w]] <- Black
                    Left-Rotate(T, p[x])
                    x <- root[T] // 그냥 while문 탈출 용도. 현재 tree의 root node를 새로운 x라고 한다.
    else (same as then clause with "right" and "left" exchanged)
color[x] <- Black // x가 red이거나, double black인 경우 그냥 black으로 변경
마지막으로 예시를 확인해보자. 회색 노드가 red, 진한회색은 red&black 또는 black&black 이다.

RB-Delete-Fixup 또한 O(logN)의 시간을 보장한다.
