SVM 이론
결정함수와 예측
y^={0,1,if wTx+b<0if wTx+b>0
목적 함수
하드 마진 선형 svm 분류기의 목적 함수
w,bminimize21wTw
- ∥w∥ 를 최소화하는 것 보다 21∥w∥2 최소화 하는 것이 더 깔끔하고 간단하게 미분된다.
소프트 마진 분류기의 목적함수
- i번째 샘플이 얼마나 마진을 위반할지 정하는 슬랙변수(ζ)
- 하이퍼파라미터 C : 마진 오류 최소화하기 위한 슬랙변수 값을 작게 만드는 것, 마진을 크게하기 위해 21∥w∥2를 가능한 작게 만드는 트레이드오프를 정의한다.
w,bminimize21wTw+C∑i=1mζi
Dual problem ( 쌍대 문제 )
-
primal problem이라는 제약 있는 최적화 문제가 주어지면 dual problem이란 다른 문제로 표현할 수 있다.
-
Dual의 해는 Primal 해의 하한값이지만 똑같은 해가 나온다. ⇒ 둘 중 하나를 선택하여 풀 수 있다.
-
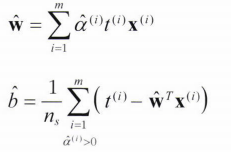
Linear SVM 목적함수의 쌍대 형식
αminimize21∑i=1m∑j=1mαiαjtitjxiTxj−∑i=1mαi
이 식을 최소화하는 벡터 α^를 찾으면 primal problem의 식을 최소화하는 w^과 b^를 구할 수 있다.

- 훈련샘플 수가 특성 개수보다 작을 때는 dual problem 푸는 것이 더 빠르다.
- primal prob.에는 커널 트릭이 적용이 안되지만 dual prob.에서는 가능하다.
커널 SVM
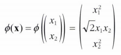
2차 다항식 변환 적용 후 선형 SVM 분류기를 적용

이후 벡터는 3차원이 된다.
직접 풀어서 계산해보면 알 수 있 듯이 a, b를 각각 2차 다항식 매핑식에 넣어서 dot product하면 (a.T b)의 제곱이 된다.

그래서 훈련 샘플을 직접 변환하지 않고 dot product 후 제곱해주면 된다.
이것이 커널 트릭이다.
선형 :

다항식:

시그모이드 :

가우시안 RBF :
