
Given an n-ary tree, return the level order traversal of its nodes' values.
Nary-Tree input serialization is represented in their level order traversal, each group of children is separated by the null value (See examples).
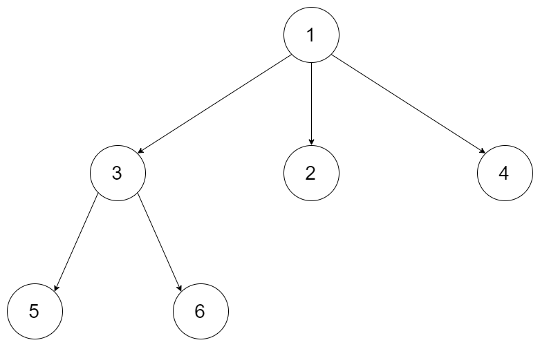
Example 1:

Input: root = [1,null,3,2,4,null,5,6]
Output: [[1],[3,2,4],[5,6]]
Example 2:

Input: root = [1,null,2,3,4,5,null,null,6,7,null,8,null,9,10,null,null,11,null,12,null,13,null,null,14]
Output: [[1],[2,3,4,5],[6,7,8,9,10],[11,12,13],[14]]

class Solution:
def levelOrder(self, root: "Node") -> List[List[int]]:
if not root:
return []
tree_queue = deque([root])
result = [[root.val]]
while len(tree_queue) != 0:
level_result = []
parent_num = len(tree_queue)
for _ in range(parent_num):
node = tree_queue.popleft()
for children in node.children:
if children:
level_result.append(children.val)
tree_queue.append(children)
if level_result:
result.append(level_result)
return result
38/38 cases passed (49 ms)
Your runtime beats 52.43 % of python3 submissions
Your memory usage beats 94.51 % of python3 submissions (18.1 MB)
Your solution for performing a level order traversal on an n-ary tree is quite efficient and follows the standard Breadth-First Search (BFS) algorithm, which is the appropriate approach for this type of problem. You make use of a queue to keep track of nodes at each level and process them accordingly, which is exactly what's needed for level order traversal.
However, there are a few minor adjustments and improvements that can make your code cleaner or slightly more efficient:
deque with root, which you already did. This is just to emphasize that it's a good practice.Given these points, here's a slightly refined version of your solution. The core logic remains the same, but with slight adjustments for readability:
from collections import deque
from typing import List
class Node:
def __init__(self, val=None, children=None):
self.val = val
self.children = children if children is not None else []
class Solution:
def levelOrder(self, root: "Node") -> List[List[int]]:
if not root:
return []
result = []
queue = deque([root])
while queue:
level_size = len(queue)
current_level = []
for _ in range(level_size):
node = queue.popleft()
current_level.append(node.val)
for child in node.children:
queue.append(child)
result.append(current_level)
return result
This version maintains the structure of your original solution but aims for slightly improved readability. Note that algorithmic improvements beyond this are largely dependent on the specific constraints of the problem or the environment in which this code is executed. For the given problem statement, your approach is already optimal.