
[1768] Merge Strings Alternately

[LeetCode] 1071. Greatest Common Divisor of Strings

[LeetCode] 1431 Kids With the Greatest Number of Candies

[LeetCode] 605. Can Place Flowers
[LeetCode] 345. Reverse Vowels of a String
LeetCode 151. Reverse Words in a String
[LeetCode] 238. Product of Array Except Self
[LeetCode] 443. String Compression
[LeetCode] 283. Move Zeroes

392. Is Subsequence

11. Container With Most Water
[LeetCode] 643.Maximum Average Subarray I
[LeetCode] 1456. Maximum Number of Vowels in a Substring of Given Length

[LeetCode] 1004. Max Consecutive Ones III
[LeetCode] 1493. Longest Subarray of 1's After Deleting One Element

[1732] Find the Highest Altitude

[724] Find Pivot Index
Code Testcase Test Result Test Result 2215. Find the Difference of Two Arrays
[1207] Unique Number of Occurrences

[1657] Determine if Two Strings Are Close

[2352] Equal Row and Column Pairs
[2390] Removing Stars From a String
[735] Asteroid Collision
[394] Decode String
[933] Number of Recent Calls

[649] Dota2 Senate
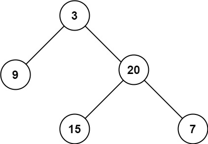
[2095] Delete the Middle Node of a Linked List

[328] Odd Even Linked List

[206] Reverse Linked List

[2130] Maximum Twin Sum of a Linked List

[104] Maximum Depth of Binary Tree

[872] Leaf-Similar Trees

[1448] Count Good Nodes in Binary Tree

[437] Path Sum III

[1372] Longest ZigZag Path in a Binary Tree

[236] Lowest Common Ancestor of a Binary Tree

[199] Binary Tree Right Side View #

[1161] Maximum Level Sum of a Binary Tree

[700] Search in a Binary Search Tree

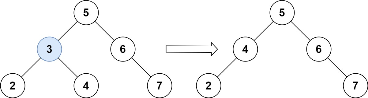
[450] Delete Node in a BST
[841] Keys and Rooms

[547] Number of Provinces

[1466] Reorder Routes to Make All Paths Lead to the City Zero
[LeetCode] 1137. N-th Tribonacci Number
[746] Min Cost Climbing Stairs
[6] Zigzag Conversion
[198] House Robber
[80] Remove Duplicates from Sorted Array II
[274] H-Index

[2] Add Two Numbers
[55] Jump Game

[138] Copy List with Random Pointer
[338] Counting Bits

[136] Single Number

[1318] Minimum Flips to Make a OR b Equal to c

1232. Basic Arithmetic Operations

[215] Kth Largest Element in an Array
[71] Simplify Path

[SW Expert Academy] 1248. Common Ancestor
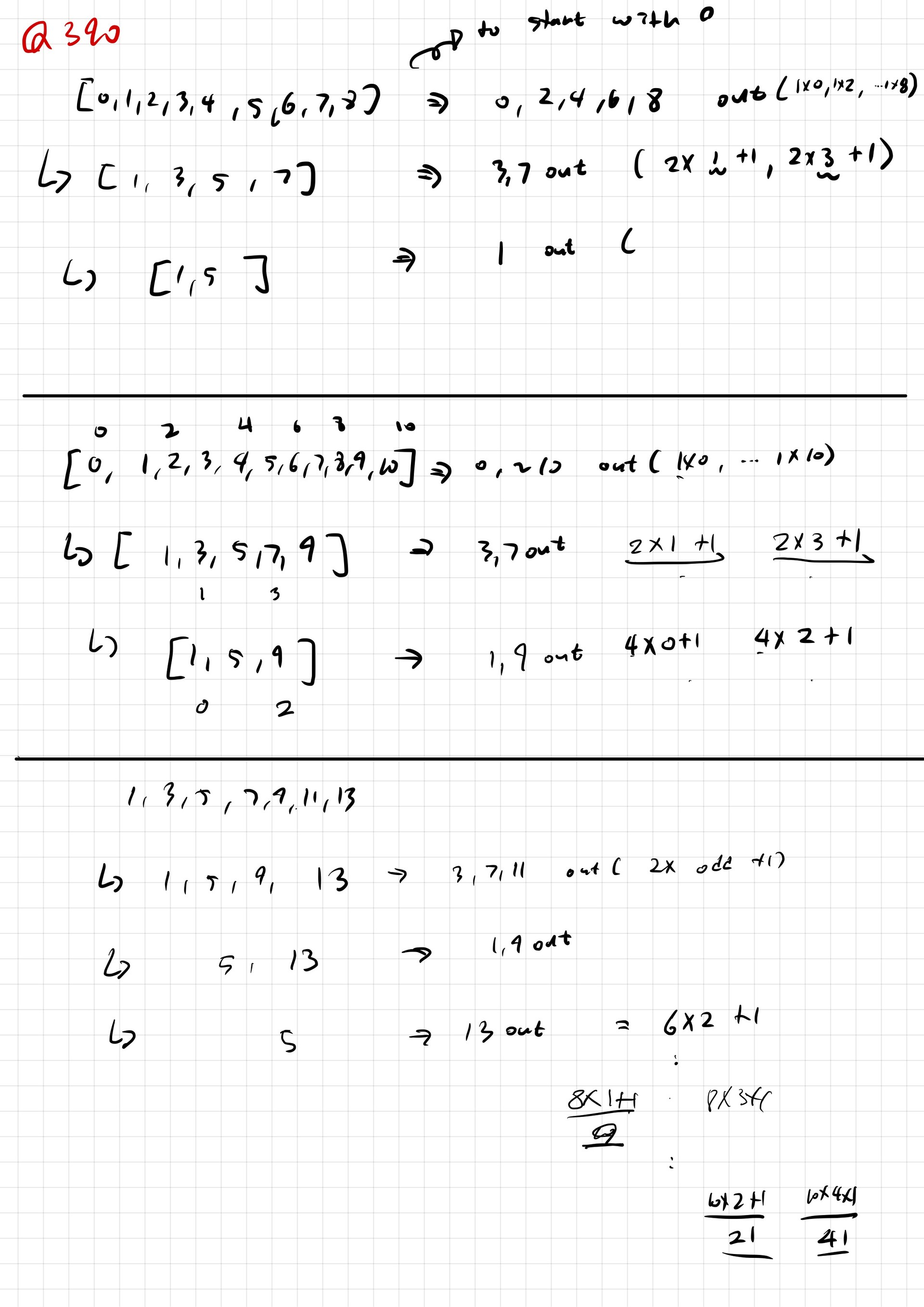
[2336] Smallest Number in Infinite Set

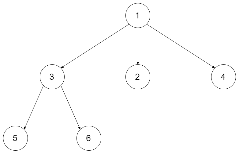
[429] N-ary Tree Level Order Traversal

1249. Supply Route

[390] Elimination Game
[241] Different Ways to Add Parentheses
[139] Word Break

52. N-Queens II

[SW Expert Academy] 1257. Kth String

36. Valid Sudoku

[48] Rotate Image
[322] Coin Change
15. 3Sum

[1768] Merge Strings Alternately
[1071] Greatest Common Divisor of Strings

[1249] Minimum Remove to Make Valid Parentheses
[215] Kth Largest Element in an Array

[189] Rotate Array

[289] Game of Life
[49] Group Anagrams
[128] Longest Consecutive Sequence

[1091] Shortest Path in Binary Matrix