공부 벌레가 되고 싶네요...🐛📚
어제 공부하다가 선형 회귀의 '선형성'의 개념에 빠져나오지 못했습니다. 아직 더 공부해야 되긴 하는데, 기초를 잡고 가고 싶어서 나동빈님의 선형 회귀 입문 유튜브 강의를 보고 정리했습니다.
영상 출처는 아래에 있습니다. 👇
💻 머신러닝의 기초 - 선형 회귀 한 번에 제대로 이해하기 (30분만 투자해봐요!)
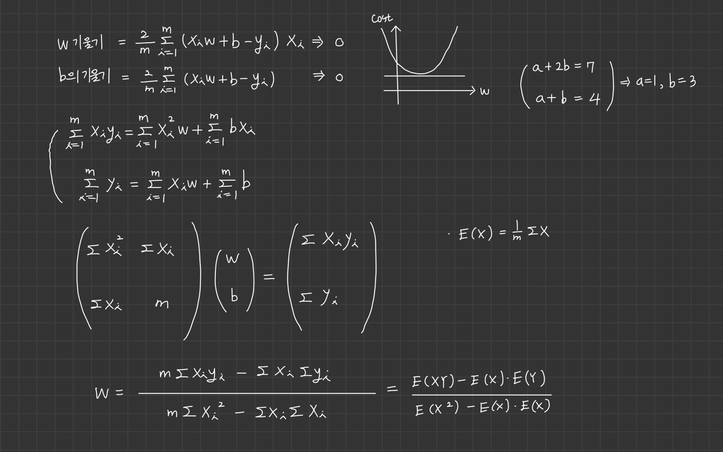
강의에서 다루는 개념 키워드: 선형 회귀, 비용 함수, 경사하강법, 편미분, 크래머 공식, 공분산, 분산 공식
선형 회귀란? 독립변수 x를 사용하여 종속 변수의 y의 움직임을 옟그하고 설명하는 작업을 말합니다.
단순 선형 회귀란? 하나의 x 값으로 y값을 설명하는 경우
다중 선형 회귀란? 여러 개의 x 값으로 y값을 설명하는 경우
최소 제곱법이란? (주어진 x값이 하나 일 때 적용 가능) 오차가 가장 적은 좌표의 특성값을 잘 나타내는 파라미터를 찾는 수식
경사 하강법이란? 미분 기울기를 이용해서 오차를 가장 작은 방향으로 수정하는 방법





영상은 선형 회귀, cost function(비용 함수) 등의 개념을 잘 설명해주고 사용되는 경사하강법과 수학 공식 설명 등을 이어 해줍니다.
정말 쉽게 설명해주니 꼭 한 번 보시길 바랍니다!👏