
해당 내용은 Udemy 강의 'Pandas 및 Python을 이용한 데이터 분석:마스터 클래스'를 수강 후 정리한 내용입니다.
LOAD TEXT DATA AND PERFORM BASIC DATA EXPLORATION
# Dataset consists of 3000 Amazon customer reviews, star ratings, date of review, variant and feedback of various amazon Alexa products like Alexa Echo, Echo dots.
# The objective is to discover insights into consumer reviews.
MINI CHALLENGE #1:
# What is the average rating?
# alexa_df['rating'].mean()
alexa_df.describe()
# How many unique classes do we have in the variation column?
alexa_df['variation'].nunique()
# What is memory usage of this dataframe in memory?
alexa_df.info()
UPPER AND LOWER
# You can convert all words in a given column into upper case by applying str.lower()
alexa_df['verified_reviews'].str.lower()
# You can convert all words in a given column into lower case by applying str.upper()
alexa_df['verified_reviews'].str.upper()
# You can also convert the headernames into upper case
alexa_df.columns = alexa_df.columns.str.upper()
alexa_df
# Let's convert them back to lowercase!
alexa_df.columns = alexa_df.columns.str.lower()
alexa_df
MINI CHALLENGE #2:
alexa_df['verified_reviews'].str.title()
PANDAS OPERATIONS PART #1
# obtain the length of a given string (how many characters per string)
alexa_df['reviews_length'] = alexa_df['verified_reviews'].str.len()
alexa_df
# Let's obtain the shortest review
min_char = alexa_df['reviews_length'].min()
min_char
# Let's obtain the longest review
max_char = alexa_df['reviews_length'].max()
max_char
# Let's filter out the shortest reviews
alexa_df[alexa_df['reviews_length'] == min_char]
MINI CHALLENGE #3:
alexa_df[alexa_df['reviews_length'] == max_char]
# 전체 리뷰 내용 확인하기
alexa_df[alexa_df['reviews_length'] == max_char]['verified_reviews'].iloc[0]
PANDAS OPERATIONS PART #2
# You can replace elements in a dataframe as follows:
alexa_df['variation'] = alexa_df['variation'].str.replace('Walnut Finish', 'Walnut Finish (Best Seller)')
# Filter the DataFrame by selecting rows that only ends with the word "love"
# Note that we had to convert all words into lower case first
mask = alexa_df['verified_reviews'].fillna('').str.lower().str.endswith('love')
alexa_df[mask]
💡 체크 사항
NaN 값 여부
verified_reviews 컬럼에 결측값이 존재한다면 .str 메서드 사용시 오류 발생 가능
불리언 마스크 적용 방식
mask는 불리언 시리즈이므로 인덱싱은 작동해야 함. 1번 문제가 있다면 오류 발생
str 속성 사용 가능 여부
verified_reviews 컬럼이 문자열 데이터로만 이루어져 있지 않으면 (int, float 같은 값 포함) .str을 사용할 수 없음.
💡 해결 방법
fillna('') 사용 (추천)
NaN 값을 빈 문자열('')로 대체한 후 실행하면 문제없이 작동
dropna() 사용
NaN 값을 아예 제거한 상태에서 실행하는 방법 존재
astype(str) 사용
NaN이 'nan' 문자열로 바뀌어버리므로 의도한 결과와 다를 수 있음.
# Filter the DataFrame by selecting rows that only starts with the word "love"
# Note that we had to convert all words into lower case first
mask = alexa_df['verified_reviews'].fillna('').str.lower().str.startswith('love')
alexa_df[mask]
# you can split the string into a list
alexa_df['verified_reviews'].str.split()
# you can also select the index within the extracted list as follows
# Note that index 0 indicates the first element in a given list
alexa_df['verified_reviews'].str.split(' ').str.get(0)
MINI CHALLENGE #4:
mask = alexa_df['verified_reviews'].fillna('').str.lower().str.contains('love')
alexa_df[mask]
PERFORM TEXT DATA CLEANING BY REMOVE PUNCTUATIONS
# String module is super useful when dealing with text data
# String contains constants and classes for working with text
import string
string.punctuation
Test = '$I love Pandas &Data Analytics!!'
Test_punc_removed = [char for char in Test if char not in string.punctuation]
Test_punc_removed
Test_punc_removed_join = ''.join(Test_punc_removed)
Test_punc_removed_join
# Let's define a function to remove punctuations
def remove_punc(message):
Test_punc_removed = [char for char in message if char not in string.punctuation]
Test_punc_removed_join = ''.join(Test_punc_removed)
return Test_punc_removed_join
# Let's remove punctuations from our dataset
# alexa_df['verified_reviews_nopunc'] = alexa_df['verified_reviews'].apply(remove_punc)
alexa_df['verified_reviews_nopunc'] = alexa_df['verified_reviews'].fillna('').apply(remove_punc)
MINI CHALLENGE #5:
강의에서는 인덱싱을 통해 개별 컬럼을 출력한 후 눈으로 비교하는 방법을 제시했지만, 이는 수동으로 각 행을 살펴봐야 하는 번거로움이 있다.
이를 보완하기 위해 문장 부호가 제거되었는지 여부를 나타내는 새로운 컬럼을 추가하여 한눈에 확인할 수 있도록 개선했다.
데이터의 변환 여부를 직관적으로 확인할 수 있어 편의성이 높아지고, 대량의 데이터를 다룰 때도 효율적인 검토가 가능하다.
alexa_df['verified_reviews_nopunc'].head(5).apply(lambda x: any(char in string.punctuation for char in x))
import random
# 랜덤시드 고정
random.seed(42)
alexa_df_subset = alexa_df[['verified_reviews', 'verified_reviews_nopunc']].sample(5, random_state=42).copy()
alexa_df_subset['has_punctuation'] = alexa_df_subset['verified_reviews_nopunc'].apply(
lambda x: 'Yes' if any(char in string.punctuation for char in x) else 'No'
)
alexa_df_subset
PERFORM TEXT DATA CLEANING BY REMOVING STOPWORDS
import nltk
from nltk.corpus import stopwords
import gensim
from gensim.utils import simple_preprocess
# import re
# from nltk.stem import PorterStemmer, WordNetLemmatizer
# from nltk.tokenize import word_tokenize, sent_tokenize
# from gensim.parsing.preprocessing import STOPWORDS
# download stopwords
nltk.download('stopwords')
stopwords.words('english')
# Add more stopwords by using extend
stop_words = stopwords.words('english')
stop_words.extend(['amazon', 'Amazon', 'alexa', 'Alexa', 'echo', 'Dot', 'dot'])
# **Simple_preprocess converts a string into a series of lowered case tokens**
# Let's try it on a sample dataset
gensim.utils.simple_preprocess(alexa_df['verified_reviews'][0])
두개의 열을 groupby도 가능
# Remove stopwords and remove short words (less than 2 characters)
def preprocess(text):
result = []
for token in gensim.utils.simple_preprocess(text):
if token not in stop_words and len(token) >=1: # 너무 짧은 단어를 제하기 위함
result.append(token)
return result
# apply pre-processing to the text column
alexa_df['verified_reviews_nopunc_nostopwords'] = alexa_df['verified_reviews_nopunc'].apply(preprocess)
# 두 컬럼 비교
alexa_df[['verified_reviews', 'verified_reviews_nopunc_nostopwords']].loc[38]
# join the words into a string
alexa_df['verified_reviews_nopunc_nostopwords_joined'] = alexa_df['verified_reviews_nopunc_nostopwords'].apply(lambda x: " ".join(x))
MINI CHALLENGE #6:
# Add the word 'really' to the list of stopwords and rerun the code
stop_words = stopwords.words('english')
stop_words.extend(['amazon', 'Amazon', 'alexa', 'Alexa', 'echo', 'Dot', 'dot', 'really'])
# Modify the code in order keep words that are longer than or equal 3 characters
def preprocess(text):
result = []
for token in gensim.utils.simple_preprocess(text):
if token not in stop_words and len(token) >=3: # 너무 짧은 단어를 제하기 위함
result.append(token)
return result
# apply pre-processing to the text column
alexa_df['verified_reviews_nopunc_nostopwords'] = alexa_df['verified_reviews_nopunc'].apply(preprocess)
TOKENIZATION AND PADDING
from sklearn.feature_extraction.text import CountVectorizer
vectorizer = CountVectorizer()
alexa_countvectorizer = vectorizer.fit_transform(alexa_df['verified_reviews_nopunc_nostopwords_joined'])
alexa_countvectorizer.shape
# 4163개의 의미
print(vectorizer.get_feature_names_out())
# 작동여부 체크 방법
word_count_array = alexa_countvectorizer.toarray()
word_count_array[0, :]
index = 438
plt.plot(word_count_array[index, :])
alexa_df['verified_reviews_nopunc_nostopwords_joined'][index]
MINI CHALLENGE #7:
index = 13
plt.plot(word_count_array[index, :])
alexa_df['verified_reviews_nopunc_nostopwords_joined'][index]
TEXT DATA VISUALIZATION
# Let's obtain the number of words in every row in the DataFrame
alexa_df['length'] = alexa_df['verified_reviews_nopunc_nostopwords'].apply(len)
alexa_df
# Let's plot the histogram of the length column
alexa_df['length'].hist(bins=100, figsize=(20, 10))

# Use count plot to show how many samples have positive/negative feedback
sns.countplot(x='feedback', data=alexa_df, palette='Set1')

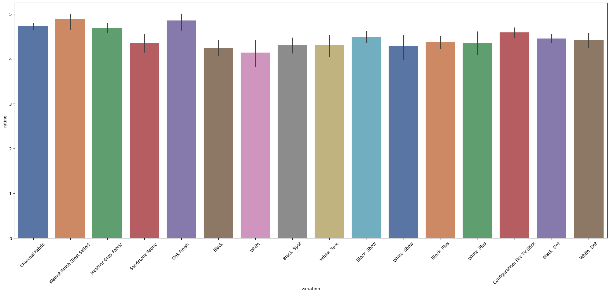
# Use Seaborn barplot to show variations/ratings
plt.figure(figsize=(25, 10))
sns.barplot(x='variation', y='rating', data=alexa_df, palette='deep')
# x축 글씨 각도 변경
plt.xticks(rotation=45)

MINI CHALLENGE #8:
sns.countplot(x='rating', data=alexa_df, palette='deep')

WORD CLOUD
# Take a dataframe column and convert it into a list
sentences = alexa_df['verified_reviews_nopunc_nostopwords_joined'].tolist()
sentences
# Take a dataframe column and convert it into a list
sentences = alexa_df['verified_reviews_nopunc_nostopwords_joined'].tolist()
sentences
# Join all elements in the list into one massive string!
word_as_one_string = " ".join(sentences)
# 더 높은 해상도의 WordCloud 생성
wordcloud = WordCloud(
width=800, # 이미지 가로 크기 (픽셀)
height=800, # 이미지 세로 크기 (픽셀)
max_font_size=150, # 최대 글자 크기
background_color='white', # 배경 색상 (선택 사항)
colormap='viridis' # 색상 맵 (선택 사항)
).generate(word_as_one_string)
# 화질 좋은 WordCloud 출력
plt.figure(figsize=(10, 10)) # 출력 크기
plt.imshow(wordcloud, interpolation='bilinear') # 화질 개선
plt.axis('off') # 축 없애기
plt.show()
positive_df = alexa_df[alexa_df['rating']==5]
positive_df
sentences = positive_df['verified_reviews_nopunc_nostopwords_joined'].tolist()
word_as_one_string = " ".join(sentences)
wordcloud = WordCloud(
width=800,
height=800,
max_font_size=150,
background_color='white',
colormap='viridis'
).generate(word_as_one_string)
plt.figure(figsize=(10, 10))
plt.imshow(wordcloud, interpolation='bilinear')
plt.axis('off')
plt.show()

MINI CHALLENGE #9:
negative_df = alexa_df[alexa_df['rating']==1]
negative_df
sentences = negative_df['verified_reviews_nopunc_nostopwords_joined'].tolist()
word_as_one_string = " ".join(sentences)
wordcloud = WordCloud(
width=800,
height=800,
max_font_size=150,
background_color='white',
colormap='viridis'
).generate(word_as_one_string)
plt.figure(figsize=(10, 10))
plt.imshow(wordcloud, interpolation='bilinear')
plt.axis('off')
plt.show()
