
touch screen을 손가락으로 누를 때 object가 선택되는 과정을 의미한다.


전체적인 흐름
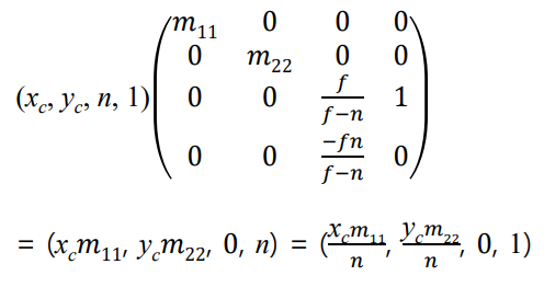
1. camera space ray의 시작점을 로 둔다.
2. projection transform = clip space 좌표를 얻는다.
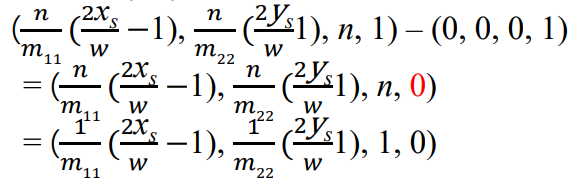
3. viewport transform = screen space 좌표를 얻는다.
4. 3에서 구한 결과와 우리가 클릭한 좌표 가 같음을 이용하여
camera space 좌표 을 구한다.
5. 를 이용해서 direction vector(ray)를 계산한다. = - 원점
6. Inverse view transform, world transform을 통해서 ray를 각 object space로 가져온다.
7. BV나 Ray-Triangle Intersection을 통해 오브젝트와의 충돌을 감지한다.







= inverse of view transform



= BV는 물체를 감싸는 간단한 geometry이다.
= BV를 기준으로 ray 충돌 여부를 체크한다 -> cost가 줄어든다


= BV보다 정밀한 체크가 가능하다.
= 무게중심 좌표(barycentric coordinate)를 이용한다.







= screen 뒤의 virtual ball
= unit sphere




