Similarity and Dissimilarity
- Similarity
- 두 데이터 객체가 얼마나 비슷한지에 대한 수치적 측정값이다.
- 객체들이 더 비슷할수록 (값이) 더 높다.
- 보통 [0,1] 범위 안에 있다.
- 근접도
- Dissimilarity
- 두 데이터 객체가 얼마나 다른지에 대한 수치적 측정값이다.
- 객체들이 더 비슷할수록 (값이) 더 낮다.
- 최소 비유사도는 보통 0이다.
- 상한선은 다양함 (경우에 따라 다름)

Common Properties
Distance
거리 함수가 만족해야 하는 3가지 속성
- 양의 정부호성 (Positive Definiteness)
- 거리는 항상 0 이상이다.
- 거리가 0이 되는 경우는 오직 두 점이 완전히 같을 때만
- 예: 서울-부산 거리 ≥ 0, 서울-서울 거리 = 0
- 대칭성 (Symmetry)
- A에서 B까지의 거리 = B에서 A까지의 거리
- 방향과 무관하다.
- 예: 서울→부산 거리 = 부산→서울 거리
- 삼각부등식 (Triangle Inequality)
- 직접 가는 거리 ≤ 경유해서 가는 거리
- 우회하면 더 멀거나 같다.
- 예: 서울→부산 ≤ 서울→대전 + 대전→부산
Similarity
유사도 함수가 만족해야 하는 2가지 속성
- 최대 유사도 조건
- 최대 유사도(보통 1)가 되는 경우는 오직 두 객체가 완전히 같을 때만
- ex)
- 나 자신과의 유사도 = 1 (최대)
- 쌍둥이와의 유사도 = 0.95 (높지만 1은 아님)
- 남과의 유사도 = 0.2 (낮음)
- 대칭성 (Symmetry)
- A와 B의 유사도 = B와 A의 유사도
- 방향과 무관하다.
- ex) 철수가 보기에 영희와의 유사도 = 영희가 보기에 철수와의 유사도
Similarity Between Binary Vectors
Binary Vectors
- 각 속성이 0 또는 1만 가지는 벡터이다.
- 4가지 경우의 수
| q = 0 | q = 1 |
|---|
| p = 0 | M₀₀ | M₀₁ |
| p = 1 | M₁₀ | M₁₁ |
두 가지 유사도 측정 방법
Simple Matching (SM) - 단순 매칭 계수
SM = (M₁₁ + M₀₀) / (M₀₁ + M₁₀ + M₁₁ + M₀₀)
= 일치하는 속성 / 전체 속성
- 특징
- 0-0 일치도 중요하게 고려한다.
- 전체 속성에서 일치하는 비율이다.
- 예시:
- 두 사람 모두 "흡연 안 함(0-0)" → 일치로 카운트
→ 0과 1이 둘 다 중요한 경우 사용 / ex) 의학 검사 결과 (음성도 중요)
Jaccard Coefficient (J) - 자카드 계수
J = M₁₁ / (M₀₁ + M₁₀ + M₁₁)
= 둘 다 1인 경우 / (적어도 하나가 1인 경우)
- 특징:
- 0-0 일치는 무시한다.
- 둘 다 없는 것(M₀₀)은 유사도에 영향이 없다.
- 예시:
- 두 사람 모두 "흡연 안 함(0-0)" → 무시
- 둘 다 "흡연 함(1-1)" → 중요하게 카운트
→ 1만 중요한 경우 / ex) 문서에 단어 존재 여부
SM vs. Jaccard: Example

→ 만약 영화 선호도라고 가정한다면 Jaccard가 더 적합한 상황이라고 볼 수 있다.
Minkowski Distance in Vector Data

r = 1) 맨해튼 거리 (L1 norm)
r = 2) 유클리드 거리 (L2 norm)
r = max) 체비셰프 거리 (Lmax norm)
ex) (1,1)에서 (4,3)까지의 거리
- L1 norm → |4-1|+|3-1| → 5
- L2 norm → √((4-1)²+(3-1)²) → 3.6
- Lmax norm → max(|4-1|,|3-1|) → 3
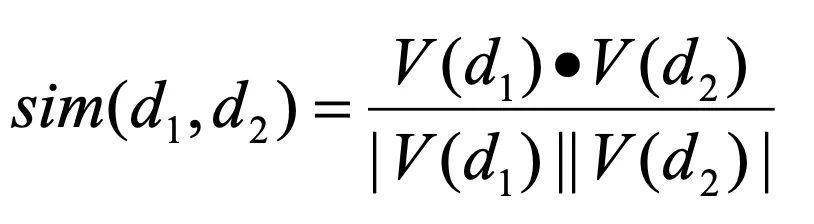
Euclidean distance vs Cosine similarity
- 유클리드 거리: 기하학적 거리를 본다.
- 코사인 유사도: 방향을 본다.
Euclidean distance
- 두 점 사이의 직선 거리
- ex) (4,3),(1,1) → √((4-1)² + (3-1)²) = √13 ≈ 3.6
Cosine similarity

- 유사도 = 두 벡터 사이 각도의 코사인 값
- 각도가 작으면 (방향이 비슷) → 유사도 높음
- 각도가 크면 (방향이 다름) → 유사도 낮음
- 특징:
- 방향만 중요하다.
- 위치나 크기는 무시 / 크기에 영향을 받지 않음
Distance Between Sequence Data
Levenshtein Distance