

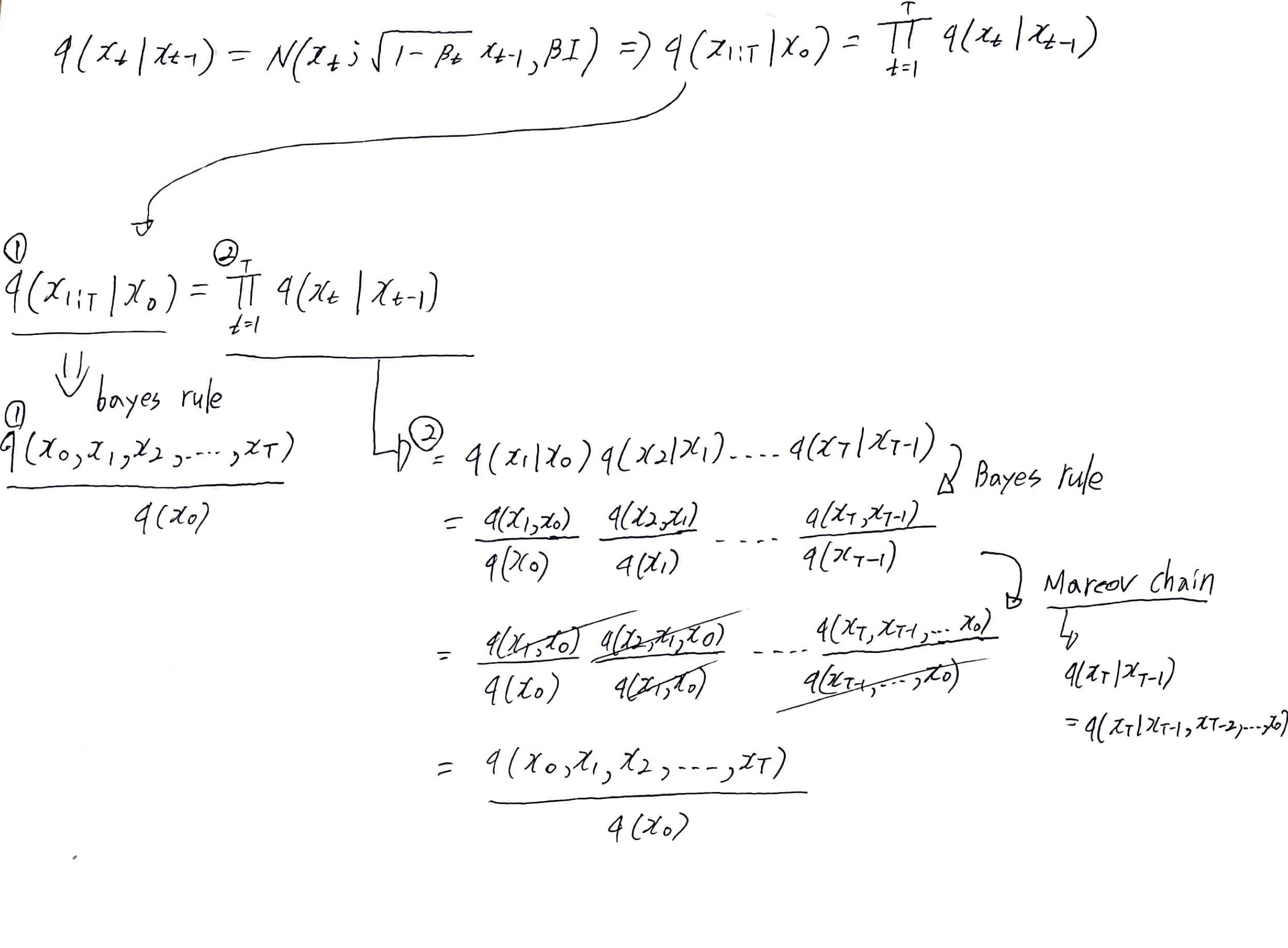
forward process는 이전 단계() 기준으로 다음 단계()에 noise를 추가하는 과정
이 과정을 Markov process로 진행하게 되는데 Markov process란 다음 state가 현재 state에만 의존하는 형태이다.
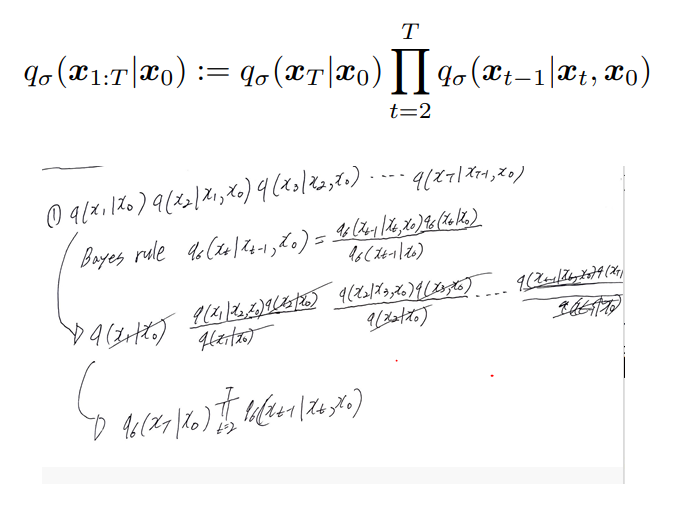
forward process는 그림과 같이 term으로 볼 수 있음
이때, 더해지는 noise는 미리 정해둔 variance schedule 를 사용하는데 이를 통해 가우시안 노이즈를 더해가는 프로세스를 q로 정의

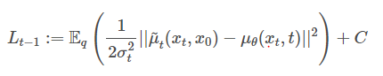
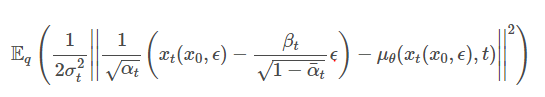
Reverse process는 forward process와 반대로 noise를 제거하는 과정
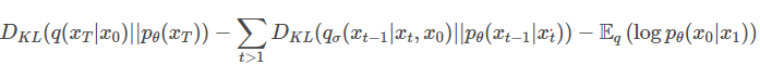
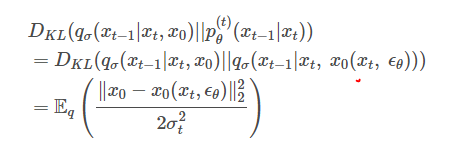
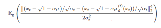
를 구할 수 없기 때문에 를 학습하고자 하는 것
각 t에서 생성된 노이즈 첨가 샘플들은 reverse process를 학습하기 위한 조건부로 사용



















