Segmentation : 이미지를 비슷한 정보를 가진 비중첩 영역(객체)으로 나누는 과정이다. 이를 통해 이미지 내의 다양한 객체를 식별하고 분리하여 다양한 정보를 얻을 수 있다.
Segmentation Method
K-means clustering
Mean Shift
Normalized-cut
Graph cut
Random-walk
Markov random field (MRF) optimization
Image Thresholding (이미지 임계값 처리) : 이미지를 분할하는 기법. 특정 임계값을 기준으로 이미지를 두 개의 그룹(Foreground, Background)으로 분리한다. 이 방법은 주로 Gray scale 이미지에 적용된다. 이미지의 숨겨진 부분도 추출이 가능하다.
Single thresholding (단일 임계값 처리) : 전체 이미지에 대해 하나의 고정된 임계값을 적용한다. 이 방법은 이미지의 전반적인 밝기가 균일할 때 유효하다.
Double thresholding (이중 임계값 처리) : 두 개의 임계값을 사용하여 각 객체를 더욱 세밀하게 분리하는 방법.
Otsu's thresholding : 자동으로 임계값을 계산하는 방법으로, 이미지의 히스토그램을 분석하여 최적의 임계값을 찾는 방법. 이는 두 개의 피크(예를 들면, 전경과 배경) 사이의 분산을 최대화하는 임계값을 선택한다.

Otsu's Method : 이미지를 배경과 객체를 분리할 때, 클래스 내 분산을 최소화하고 클래스 간 분산을 최대화하는 임계값을 찾는 알고리즘이다. 이 방법은 특히 두 개의 주요 분포를 가진 이진 신호 분석에 적합하다.
클래스 내 분산 최소화 : 한 클래스에 속한 픽셀들은 비슷한 값을 가져야 잘 그루핑했다고 볼 수 있다. 즉, 클래스 내 분산은 작을수록 좋다.
클래스 간 분산 최대화 : 두 그룹으로 나누어진 픽셀들은 서로 차별점이 클수록 좋다. 즉, 그룹간 분산은 클수록 좋다.
분산의 관계 : 이진 신호에서 전체 분산은 클래스 내 분산과 클래스 간 분산의 합과 같다. 따라서, 클래스 간 분산을 최대화하는 것은 클래스 내 분산을 최소화하는 것과 동일한 결과를 가져온다.
즉, 오츠의 메소드는 k값을 바꿔감에 따라 두 개의 그룹이 달라지고, 분산도 당연히 달라진다. 이를 반복하며 가장 적절한 k값을 결정하는 방법이다.
The following properties
M * N 크기의 이미지
L(256)개의 픽셀 값(이 경우 0 ~ 255, 8bit)을 가짐
밝기 값을 갖는 픽셀의 수는 :
밝기 를 갖는 픽셀의 비율 :
모든 L에 대한 이 비율의 합 :
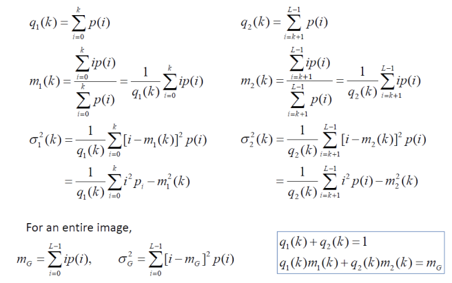
임계값 k에 의해 두 개의 그룹으로 나누어지고, k는 어느 그룹에 속해도 상관 없지만, 그룹 1에 속한다고 가정.

는 임계값 k전 후 범위의 모든 의 합으로, 클래스 간 비율을 나타낸다.
는 각각의 영역의 평균 밝기를 나타낸다.
는 가중 평균을 의미한다.
는 각 영역 내에서 밝기 값의 분산을 나타낸다.
는 각각 이미지 전체에 대한 평균과 분산이다.
최적의 임계값 찾기 : 클래스간 분산이 최대가 되는 k를 찾는 것이다.
클래스간 분산 재귀적 계산 : ~ 까지 범위에 대한 평균을 구하였을 때, 편하게 계산하는 방법
이다.
Moving Average 방식으로 계산할 수 있다.
Adaptive thresholding (적응 임계값 처리) : 전체 이미지에 대해 단일 임계값을 사용하는 기존의 임계값 처리 방법의 한계를 극복하기 위해 고안된 방법.
이미지를 일련의 하위 이미지 또는 구역으로 나누고, 각 하위 이미지에 대해 별도의 임계값을 적용한다.
이 방법을 통해, 각 하위 이미지의 특성에 맞는 임계값을 결정하여, 더 정밀한 이미지 처리가 가능해짐.