논문 제목
Recurrent Residual Convolutional Neural Network based on U-Net (R2U-Net) for Medical Image Segmentation (2018)
URL: https://arxiv.org/abs/1802.06955
인용수 : 1376회 (24.09.12 기준)

기본적인 U-Net의 구조이다. 인코딩과 디코딩을 위한 Conv + ReLU 블럭을 사용하며, Skip Connection이 존재한다.

본 논문에서 제안한 방법 중 하나인 RU-Net의 구조이다. 인코딩과 디코딩 중 Conv + ReLU 블럭을 순환하는 구조를 사용한다.
깃허브 코드를 살펴보면 정말 단순하게 forward함수 내 for 반복문을 사용한다.

RCNN 논문 (2015)에서 영감을 받아서 제안했다고하며, RCNN은 객체 인식 (Object Recognition)에서 우수한 성능을 보여준 방법이라고함.
(a) : U-Net에서 기본적으로 사용하는 컨볼루션 유닛
(b) : RU-Net에서 사용하는 순환 컨볼루션 유닛 (제안)
(c) : ResU-Net에서 사용하는 잔차 컨볼루션 유닛
(d) : R2U-Net에서 사용하는 순환 잔차 컨볼루션 유닛 (제안)

여기서 순환 컨볼루션은 위 이미지와 같이 진행되며, 순환 수를 정의하는 추가적인 파라미터 t (default=2)를 필요로 한다.
RCNN은 output값을 다시 입력으로 받는 효율적인 특징 축적을 통해 더 나은 특징 표현을 보장한다. 따라서 매우 낮은 수준의 특징을 추출하는데 도움을 준다고함.
최종적으로 R2U-Net은 잔차 학습과 순환 구조를 통해 네트워크 파라미터는 U-Net과 동일하지만, 더 효율적인 모델을 제안했다고 할 수 있다.
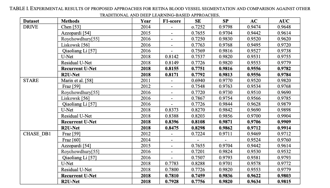
사용 데이터셋
1. 혈관 (Blood Vessel Segmentation)
2. 피부암 (Skin Cancer Segmentation)
3. 폐 (Lung Segmentation)
정량평가
1. 정확도 (AC)
2. 민감도 (SE)
3. 특이도 (SP)
4. F1-Score
5. Dice Coefficient (DC)
6. Jaccard Similarity (JS)

학습 곡선을 살펴보면 제안 모델이 더 안정적이고 성능도 높은 것을 확인할 수 있다.



세 가지 실험에서 제안한 RU-Net과 R2U-Net이 동일 연도에 제안된 ResU-Net이나 U-Net보다 좋은 지표를 보였다.