한 바보가 할 수 있는 것은 다른 바보도 할 수 있다. - 태국 속담
현대수학의 발전 속도와 깊이는 놀라울 정도입니다. 그 원인 중 하나는 수학이 현실의 제약을 받지 않는, 추상적인 학문이기 때문입니다. 현실과 다르다는 이유로 기존의 이론이 폐기되고 새롭게 교체되는 일이 없기 때문에 수학은 지속적으로 확장되며, 새로운 문제들을 끊임없이 발견하게 됩니다. 그래서 현대수학은 놀랄 만큼 빠르게 성장하여 한 명의 수학자가 모든 분야를 연구하는 것은 이미 오래전 불가능해졌으며 미래의 수학은 더욱 빠른 속도로 성장할 것이 예상됩니다. 이런 맥락에서, 현대수학의 전체적인 흐름을 한 눈에 파악하는 것은 심도 있는 연구를 수십 년 동안 진행한 전문가들에게조차도 어려운 일입니다. (출처: 김명환, 김홍종, 김영훈 <현대수학입문: 힐베르트 문제를 중심으로> 개정판)
그런 점에서, 미적분학은 수학의 방대한 분야 중에서도 오직 일부분에 지나지 않습니다. 그렇다고 해서 미적분학의 중요성을 경시할 수는 없습니다. 실제로, 미적분학은 수학의 핵심을 구성하기 때문입니다.
예를 들면, 미적분학의 원리와 개념은 특정한 조건에서 보다 일반적인 조건으로 확장될 수 있습니다. 이러한 개념 확장은 수학의 다른 분야에서도 동일한 논리와 사고방식을 적용하여 이해하는 데 큰 도움이 됩니다.
그리고, 여러분이 미적분학만 매우 싫어하며 오직 미적분학이 없는 수학에만 깊은 관심을 가진다 할지라도 (현실적으로 그 정도로 괴팍한 사람은 찾을 수 없겠죠.) 미적분학이 중요합니다. 미적분학의 내용과 전혀 상관없는 개념일지라도 미적분학과 연결하여 이해하는 통찰을 가지면 그 개념을 매우 풍성하게 이해할 수 있기 때문입니다.
결국, 미적분학은 수학의 기본적인 토대를 구성하며, 그것 없이는 수학의 전체적인 그림을 완성하는 것이 어렵다는 것을 인지하는 것이 중요합니다.
제 생각에는, 미적분학 내용을 정확히 아는 것보다 미적분학이 쉽다고 느끼게 하는 것이 훨씬 더 중요하다고 봅니다. 왜냐하면, 미적분학이 쉽다는 느낌과 어떤 수학내용이 미적분학과의 연결되는 구나라는 통찰이 그 수학 내용을 깊게 받아들이게 하기 때문입니다.
미적분학은 많은 함수와 그래프를 다룹니다.
함수의 그래프를 그렸을 때, 그 그래프의 특징을 명확히 관찰하는 것은 중요하다. 예를 들면, 의 그래프를 보면서 그 형태와 변화, 특징적인 지점들을 식별하는 것이다.
기존에 알고 있는 함수의 그래프와 새로운 함수의 그래프 사이의 유사성을 찾아 연결시키는 것은 매우 유용하다. 이를 통해 새로운 함수의 특징이나 변화를 예측할 수 있게 된다.
예를 들면, 와 같은 함수의 그래프를 해석하기 위해 의 기존 지식과 함수의 평행이동이라는 수학적 지식을 활용하는 것이다.
이해란, 수학적 개념이나 그 개념을 적용한 결과를 완전히 설득하는 과정이다.
예를 들어, 의 그래프가 의 그래프를 평행이동한 것이라는 사실을 안다면, 왜 그렇게 되는지에 대한 근거와 설명을 찾아내야 한다.
이렇게 어떠한 개념이나 식이 주어졌을 때, 그것이 왜 그렇게 되는지에 대한 근본적인 이유와 그 과정을 이해하면, 미적분학을 보다 깊고 확실하게 이해할 수 있다.
결론적으로, 미적분학을 쉽게 느끼기 위해서는 관찰, 수학적 지식 읽기, 그리고 깊은 이해의 과정이 필요합니다
결국, 익숙해지는 것이 쉬워지는 길입니다. 그리고 그것을 위해서는 깊게 고민하고 싶은 수학적 질문이 필요합니다. 수학적 질문을 찾고 답하는 것은 구체적으로 관찰, 수학적 지식 읽기, 그리고 깊은 이해의 과정으로 나누어서 생각해 볼 수 있습니다.
제 주관적인 생각으로, 수학적 질문은 크게 두가지로 나눌 수 있습니다. 답을 위해서 사용해야하는 수학 도구가 무엇인지 이미 알고 있는 것과 그렇지 않은 것 입니다. 이 글에서, 전자를 Exercise 후자를 Game이라고 부르겠습니다.
같은 수학적 질문이 어떤 사람들에게는 Game일 수 있지만, 배경 지식이 더 많은 다른 사람들에게는 Exercise일 수 있습니다! 상대적인 개념이죠. 예를들어서, 아래 적힌 문제에 대해서 여러분이 를 오른쪽을 이항하여 풀거나 한눈에 답이 뭔지 알 정도로 쉽다면 Exercise이지만, 그렇지 않고 직접 수를 대입하여 찾아가며 푼다면 이 문제는 Game입니다.
문제 밑줄에 들어갈 수를 적으세요.
그리고, 인류 전체 입장에서도 Game인 수학적 질문들이 있는데, 그런 것을 푸는 사람들이 수학자입니다.
수학자들은 마치 프로게이머 같습니다. 그들은 여러 가지 'Exercise'를 통해 자신의 기술을 연마하고, 그 기술을 바탕으로 다양한 'Game'에 도전합니다. 이 과정에서 그들은 실패하기도 하고, 끈기 있게 다시 도전하기도 합니다. 프로게이머가 게임에서 승리하기 위해서는 여러 가지 기술과 전략, 그리고 팀워크가 필요하듯이, 수학자들도 복잡한 문제를 해결하기 위해 여러 가지 수학적 도구와 아이디어, 그리고 다른 수학자들과의 협업이 필요합니다.
수학적 도구와 Exercise
(현실과 다르게) 수학 세상에서는 내가 직접 설계도를 보면서 운동기구를 만들어야만 그 운동기구를 사용할 수 있습니다.수학적 개념을 쌓는 것은, 설계도를보면서 운동을 하기전에 운동에 필요한 것을 준비하는 것과 같습니다. 구체적으로 말해서, 정의를 받아들이고 정의로 부터 정리들을 증명을 읽어가면서 유도합니다. 다시말해서, 수학을 읽는 것은 여러분의 정신세계에서 운동할 준비를 하는 과정입니다.
아이디어
아이디어는, 수학적도구에 대한 깊이있는 이해로 부터 나옵니다. 그리고 이해는 우리 몸이 근육이 만들어지는 것과 비슷한 것입니다. 수학적 지식을 쌓고 관찰을 열심히 하였다고 해서, 수학적 개념이 곧바로 이해될 지 않습니다. 이해는 수학적 지식과 관찰을 나의 것으로 만드는 과정입니다. 이것을 구체적인 현상으로 표현하기는 어렵습니다. 왜냐하면, 마치, 완전히 쉬고 있는 시간에 근육이 만들어지는 것처럼 이해의 영역은 무의식이 해주는 것이 상당히 큰 비중을 차지하기 때문입니다.
강력한 내적 동기의 필요성
먼저, 저는 응용 수학으로 석사를 한 사람으로, 이 글은 제 개인적 경험이 아니라, 다른 사람들로부터 들은 이야기를 기반으로 작성되었음을 밝힙니다. 많은 수학자들이 내적 동기의 중요성을 매우 강조합니다.
수학, 그 자체는 풍부한 깊이와 복잡성을 지니고 있는 학문입니다. 단순히 수학을 공부만 하는 것도 상당한 시간과 에너지가 소모됩니다. 더욱이, 수학 연구는 문제를 어떻게 접근하고, 해결 방안이나 연구 경로를 어떻게 설계할 것인지를 미리 예측하고 계획하는 것이 아주 어렵습니다.
연구제안서를 쓰기 어려운 이유는 무엇일까? 수학 연구에 어울리지 않는 옷(제안서 양식)을 주고 그 옷에만 맞춰 입으라고 하는 현실 때문인 것 같다. 몇 년간 연구하려는 주제를 정리하는 것 자체가 논문 한 편 쓰는 것보다 훨씬 어렵다. 100% 객관적 진실만 쓰도록 훈련받는 것이 수학자라 ‘언제까지 무엇을 어떻게 하겠다’, ‘이 연구가 어디에 응용이 된다’ 같은 것들을 적다 보면 괴로울 때도 많다. 출처
이런 상황에서 지속적으로 도전하고 포기하지 않으려면, 단순한 외부적 보상만을 기대하는 것보다는 강력한 내적 동기가 필수적입니다. 내적 동기는 수학에 대한 순수한 흥미, 탐구의 열정, 혹은 얻고자 하는 깊은 이해와 같은 요소로부터 비롯될 수 있습니다. 이러한 동기는 학습자나 연구자가 어려움에 부딪혔을 때 그들에게 필요한 힘과 용기를 제공하며, 궁극적으로 성취와 발전을 이끌어내는 원동력이 됩니다.
따라서, 수학의 세계에서는 강력한 내적 동기를 발견하고 그것을 유지하는 것이 중요합니다.
영국의 수학자 실바누스 톰슨(Silvanus P. Thompson)은 "미적분은 어느 누구라도 할 수 있다"는 의도로 미적분학 교과서 "Calculus Made Easy"를 적었습니다. 그의 책은 100년이 지난 지금도, 널리 읽히는 책으로 톰슨의 쉬운 미적분 또는 알기 쉬운 미적분으로 번역되어 있습니다.
이 책은, 엄밀함을 희생한 수학책입니다. 그럼 수학책이 아니지 않나? 그래서, 정확한 이해를 추구하고자 하는 사람에게는 상당한 불편함을 느끼게 해줄 것입니다. 그러나, 이 책을 (저는 모두 읽었습니다.) 강력하게 추천합니다. 왜냐하면, 읽고 많이 불편하다면, 그것은 그것대로 좋은 현상이기 때문입니다. 불편함이라는 이름의 미적분학을 더 깊게 공부할 수 있는 동기를 찾은 거니깐요.
미적분학이 다루는 주요한 개념 중 하나는 함수입니다. 함수는 수학적인 관계를 표현하는 도구로, 하나의 입력 값에 대해 정확히 하나의 출력 값을 반환하는 규칙 또는 연산입니다.
수학적으로 함수는 다음과 같이 정의됩니다.
정의역 (Domain) 와 공역 (Codomain) 가 주어졌을 때, 함수 는 의 각 원소 에 대해 의 유일한 원소 를 대응시키는 규칙 또는 연산입니다. 이를 기호로 나타내면 다음과 같습니다.
여기서 는 함수의 이름이며, 는 함수의 정의역, 는 함수의 공역을 나타냅니다. 함수는 의 원소 를 의 원소 로 대응시키는 규칙 또는 연산을 나타내므로, 로 표기합니다.
함수는 그래프를 통해 시각적으로 나타낼 수 있습니다. 함수 의 그래프는 와 사이의 대응 관계를 시각적으로 보여줍니다. 아래 예시 함수 의 그래프는, 0이 아닌 실수 에 대해 의 방정식을 만족하는 점들로 이루어집니다.

은 정의되지 않습니다. 다르게 표현하면, 의 정의역 에 이 속하지 않습니다.
모든 좌표 평면에 그린 곡선이 함수의 그래프가 되지는 않습니다. 함수의 그래프와 한 점을 지나는 세로로 평행한 직선을 그을때마다, 정확히 한 점과 만나거나 만나지 않는다면, 그 그래프는 함수의 그래프입니다.

그래프 해석 : 함수 의 그래프가 주어져있다고 합시다. 그리고, 실수 에 대해서, 가 궁금하다고 합시다. 직선 (축 위의 점 을 지나는 y축과 평행한 직선)과 그래프가 만나는 교점을 조사합니다. 함수의 정의에 의해서, 그러한 실수 는 없거나 오직 하나 뿐이므로, 우리는 가 무엇인지 그래프로부터 알 수 있습니다. 만약, 그래프와 만나는 교점이 있어서 라면, 인 것입니다. 만약, 그래프와 만나는 교점이 없다면, 함수 의 정의역 에 가 없었다는 것으로 는 정의되지 않은 것입니다.
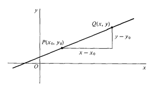
현대 수학에 관점에서는 평면기하 자체가 당연히 성립하는 내용이 아닙니다. 그러한 이유로, 좌표평면에서 우리는 직선의 방정식이 무엇인지를 명확히하고, 직선의 방정식을 중심으로 직선을 정의합니다.
다음과 같은 형태의 방정식을 직선의 방정식이라고 부릅니다.
(단, 와 모두가 0이면 안됨)
그리고, 직선의 방정식을 만족하는 모든 점의 모임을 직선이라고 부릅니다. 다시말해서, 직선의 방정식의 그래프는 직선입니다.
예를들어서, 그리고 그리고 라고 합시다. 즉, 다음과 같은 직선의 방정식을 생각합시다.
그리고, 위의 직선의 방정식을 만족하는 모든 를 그래프로 나타냅시다. 그러면, 다음과 같은 직선을 나타내는 그림이 됩니다.

위 그래프는 에 대해서 방정식을 정리하면, 이고, 그래서, 를 지나는 기울기가 인 직선이다. 라는 논리로 그려졌지요. 도대체 왜? 기울기를 생각해서 그림을 그리고 있을까요? 그것은, 기울기를 이용한 직선의 방정식 표현을 관찰을 통해서 이미 잘 알고 있기 때문입니다.
기울기를 도입하는 동기는 모든 직선의 방정식의 모양을 파악하고자 하는 것입니다. 먼저, 다음과 같은 형태의 직선의 방정식의 모양을 관찰합시다. 여기서, 와 그리고 이 주어졌다고 합시다.
관찰 대상
기울기의 뜻
을 직선 의 기울기라 부릅니다.
기울기 의 부호와 직선의 모양

여기서, 와 그리고 이 주어졌다고 합시다. 그리고
수식을 만족하는 모든 를 그래프로 나타냅시다.

위 그림에서 삼각형을 관찰하는 것은 평면기하를 근거로 이 모양이 왜 직선인지 스스로를 설득하는 과정에서 매우 중요한 역할을 합니다. 평면기하에 의하면, 이렇게 그려진 삼각형은 (가 와 일치하지 않는다면,) 항상 닮은 모양으로 구성될 수 밖에 없습니다. 그게 뜻하는 것은, 점 에서 본 각도가 항상 같다는 것이고 그게 뜻하는 것은 이 모양이 직선이라는 것입니다. 그럼 왜 항상 닮았습니까? 왜냐하면, 비율 이 일정하고 직각삼각형이기 때문입니다. (참고: 닮음 조건) 즉, 위에서 그려진 삼각형의 모양을 결정하는 것이, 와 의 비율이기 때문에, 우리가 기울기를 중요하게 생각한다는 것입니다.
미분이란, 국소적인 정보에만 의존하여 결정되는 값을 구하는 것을 의미합니다.
인생에서 가장 아름다운 순간, 가장 슬픈 순간, 가장 행복한 순간 등 우리는 그 순간들을 기억하며, 그 순간의 감정과 생각들이 어떻게 우리의 삶에 영향을 미쳤는지를 회고하곤 합니다. 예를 들어, 어린 시절의 한 여름날, 가족과 함께 해변에서 보낸 시간을 떠올려보세요. 그 순간의 국소적 정보는 따뜻한 햇볕, 시원한 바람, 가족과의 웃음, 파도의 소리 등 다양한 세부사항으로 구성됩니다. 이 모든 국소적 정보가 합쳐져서 우리에게 그 순간의 특별한 기억과 감정을 회상하게 합니다.
현실적으로, 미분은 우리가 중요하게 생각하는 것이 외부 요인에 얼마나 민감한지를 정밀하게 측정하는 도구입니다.
미분은 변수의 '작은 변화'에 대해서, 여러분이 관심을 가지고 있는 결과가 어떻게 변화하는 지를 계산하는 것을 의미합니다.
경제: 주식 시장에서는 작은 소식 하나로 주가가 급등하거나 급락하는 경우가 있습니다. 투자자들은 이러한 변동성에 노출되어 자산의 가치가 얼마나 민감하게 반응하는지를 파악하기 위해 미분을 사용합니다. 미분을 통해 주식 시장에서의 리스크와 보상을 분석할 수 있습니다.
기술: 엔지니어링 분야에서는 미세한 설계 변경이 제품의 성능에 어떤 영향을 미칠지를 예측하는 것이 중요합니다. 미분은 작은 변화에 대한 민감도를 측정하고 제품 설계의 최적화에 활용됩니다. 항공기 설계에서의 공기 저항과 같은 중요한 요소를 이해하기 위해 미분이 필수적입니다.
환경: 기후 변화 연구에서는 지구 온도가 작게 변할 때의 영향을 이해하는 것이 필요합니다. 미분은 지구 온도와 기후 시스템 간의 관계를 모델링하고 기후 변화에 대한 예측을 개선하는 데 사용됩니다.
생물학: 생물학적 연구에서는 특정 약물이 생물체에 미치는 효과를 연구합니다. 약물 농도의 작은 변화가 생물학적 반응에 어떤 영향을 미치는지를 이해하기 위해 미분이 사용됩니다. 이는 약물의 효과를 최적화하고 부작용을 최소화하는 데 도움이 됩니다.
미분이란, 라는 (직선의 방정식이 아닌) 함수를 직선의 방정식처럼 생각하는 기술입니다.
수학에서 미분이란, 함수 를 잘 나타내는 직선의 방정식을 구하는 것을 뜻합니다. 그러면, 왜? 굳이? 직선의 방정식으로 함수를 나타내려고 할까요?
그것은, 직선의 방정식을 이미 잘 알고 있기 때문입니다.
다르게 표현하면, 미분이란 함수의 그래프가 나타내고 있는 곡선의 기울기를 구하는 행위입니다. 기울기는 곧 직선의 모양을 결정하므로, 기울기를 구하는 것으로 충분한 것이지요.
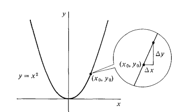
그럼, 곡선의 기울기란 무엇일까요? 미적분학의 이 질문에 대한 대답이 바로 미분의 정의입니다. 다음과 같은 그래프 에 대해서, 점 와 가 주어졌다고 합시다.

여기서, 기호 는 대상의 변화를 나타냅니다. 여기서는, 곡선 위의 점의 이동을 뜻합니다. 즉, 에서 로 이동하는 것을 상상하시면 됩니다.
이제 곡선 에서 점 에서의 미분계수를 구해보겠습니다. 먼저, 두 점 와 를 연결하는 직선을 그립니다. 이 직선은 근처에서의 곡선 를 모양을 근사하게 됩니다. 이 직선의 기울기는 로 표현할 수 있습니다
평균변화율
일 때, 입니다. 이것을 로 나누면, 가 되네요. 여기에, 대신 를 대입하면, 그림에 그린 직선의 기울기와 일치합니다.
우리가 정말로 관심을 가지고 있는 것은 점 근처에서의 곡선이지, 과 을 지나는 직선이 아닙니다. 그런 의미에서, 는 곡선의 기울기라고 말할 수 없을 것입니다. 그럼, 곡선의 기울기는 무엇이며, 그것을 어떻게 정의될까요? 평면기하학의 방식으로는, 접선이 곧 미분(곡선의 기울기)를 정의합니다. 다시 말해서, 그 접선의 기울기가 우리가 구하고자 하는 곡선의 기울기가 됩니다. 만약, 평면기하학을 근본으로 두지 않은다면, 접선 자체가 정의해야하는 대상이 될 것입니다. 그럼, 어떻게 해야할까요?
곡선의 접선 곡선의 기울기를 나타내는 직선입니다. 기하학적으로, 접선이란 주어진 곡선에 스치듯이 만나는 직선을 의미하고, 접선의 기울기는 미분에 의해서 정의됩니다.

일 때,
위에서 얻은 의 우변에 대신 0을 대입하면 그것이 의미하는 것은 곡선의 기울기가 됩니다. 즉, 을 미분하면 가 되고, 그것을 라고 적습니다.
그러니깐, 수많은 미분의 계산이 평균변화율의 식의 형태를 변경한뒤, 변경된 식에 을 대입하는 식으로 해결이 가능합니다. 그러나, 그러한 우리가 임의로 수행한 계산방식이 곡선의 기울기를 정의할 수는 없습니다. 그럼 미분을 정의하는 것을 어떻게 해결할 수 있을까요? 그 답은 극한입니다.
이제, 가 0이 아니고 그러나 0에 무한히 가깝다고 생각합시다. 그러면, 는 에 무한히 가까울 것입니다. 다시말해서, 아래 그림에 있는 직선의 기울기는 정확히 에 무한히 가깝습니다.

이제부터, 곡선의 기울기라는 말 대신, 미분계수라는 용어를 사용하십시오.
미분계수 : 가 0에 무한히 가까울 때, 이 가까워지는 수.
라이프니츠 표기법 : 라이프니츠는, 미분계수를 로 표기하였습니다.
주의점
한마디로, 입니다. 대신, 일때, 입니다
먼저, 미분계수 는 평균변화율와 다르다는 것을 강조합니다. 미분계수의 뜻은 평균변화율이 아니라, 평균변화율의 극한입니다. 즉, 올바른 교육은 그리고 를 설명하는 것이 아니라, 극한이 무엇인지를 알려주면서, 미분을 정확하게 설명하는 것입니다.
그러나, 수학공부와 별개로, 라는 표기에 있는 그리고 는 무엇인지 상당히 궁금합니다. 왜? 기호와 기호 이렇게 두가지가 있는지를 이해하는게 중요합니다.
Nowadays, when teaching analysis, it is not very popular to talk about infinitesimal quantities. Consequently, present-day students are not fully in command of this language. Nevertheless, it is still necessary to have command of it.-Vladimir_Arnold
역사적으로, 미분소는 무한소였습니다. 무한소란, 0에 무한히 가까운 수로, 0은 아닌 수를 뜻합니다. 즉, 라이프니츠의 미분계수표현에서 는 의 변화량을 뜻합니다. 단, 이 아니면서, 에 무한히 가까운 의 변화를 뜻합니다. 쉽게 말해서, 기호는 과 같이 (단순히 작은) 수를 나타내도 괜찮지만, 기호는 그렇지 않습니다. 이어도 안되고, 이어도 안되고, 오로지 0에 무한히 가까우면서 0은 아니어야합니다. 미분이란, 0에 무한히 가까운 수 에 대한, 의 변화 를 구하는 것을 뜻합니다. 그러한 라이프니츠식 설명은 제가 소개한 책 Calculus Made Easy에서 오늘날에도 찾아볼 수 있고, 필요하다면 책을 찾아보시길 바랍니다.
무한소가 없는 이유 오늘날의 수학에서의, 수(,실수)는 완비순서체로 정의합니다. 여기서 체는 (완순이:실수체의 애칭)의 가문이름이라고 생각하면 됩니다. 체 가문에는 완순이() 말고도, 다른 수학적 대상들(, )이 많습니다. 여기에는 초실수체라고 불리는 수학적 대상이 있는데, 초실수체에는 완순이()와 달리 무한소가 존재합니다. 그럼, 왜? 무한소가 실수가 아닌가요?가 정확한 질문일것입니다. 뉴턴과 라이프니츠의 미적분학은 인간에게 매우 유용하면서도 치명적인 문제가 있었는데, 그것은 무한소를 사용한다는 것이었습니다. 무한소를 이용한 미적분학도, 정확하고 유용한 결과를 도출하지만, 그러한 미적분학을 계속해서 하는 것은 완순이가 싫다는데도, 억지로 무한소를 받아들이라고 하는 모양이었습니다. 그래서, 코시와 바이어슈트라스 등의 수학자들은 완순이()와 깊게 대화를 하며, 완순이()가 좋아하는 미적분학을 다시 만들었습니다. 그리고, 인류는 그렇게 (늘 같이 있었지만, 다시 알게된) 완순이()가 왜 그토록 무한소를 싫어했는지 그제서야 이해하게 되었습니다. 그것은 완순이()의 완비성 때문입니다. 완비성으로부터, 우리는 아르키메데스 성질을 유도할 수 있습니다. 그리고, 아르키메데스 성질에 의하여, 무한소가 존재할 수 없습니다.
요약 무한소 이론은 초기에 라이프니츠와 라이프니츠의 제자와 후계자들에 의해 개발되었지만, 이러한 이론을 체계적으로 구축하는 합리적인 발전을 제시하지 못했습니다. 결과적으로 무한소 이론은 서서히 신뢰를 잃게 되고 결국 극한을 이용한 이론으로 교체되었습니다
비표준해석학과 무한소 1934년 (완순이 입장에서 보면,) 무서운 사람(Thoralf Skolem)이 나타납니다. 완순이가 싫다고 하는데도 억지로 무한소를 들이민 사람들은 (뉴턴, 라이프니츠 등) 역사적으로 늘 있어왔습니다. 그 때마다, 완순이는 잘 도망하였으나, 이번에는 달랐습니다. 그는 엄청난 전략을 사용해서, 완순이가 무한소를 결국 받아들이게 하는데 성공합니다. 그러자, 완순이가 변했습니다. 전혀 다른 성격이 된 것입니다. 그렇게 만들어진 것이 초실수체입니다. 사실, 실수체가 초실수체가 되면서 전혀 다른 성격이 되었다는 말보다는 초실수체는, 실수체가 아닙니다가 정확한 표현입니다. 왜냐하면, 완비순서체(줄여서, 완순이)가 사실은 실수체의 수학적 정의이기 때문입니다. 그러니깐, 초실수체는 완비하지 않은 순서체라서, 실수체의 수학적 정의에 의하여, 실수체일 수 없다는 겁니다.
실수체란 무엇인가?
자세한 이야기는 여기서 찾아볼 수 있습니다.
라이프니츠 방식의 미적분학은 훌륭한 표기법을 남긴채 사라졌습니다. 그 이유는 무한소가 존재하지 않기 때문입니다. 대신, 그의 표기법은 오늘날에도 수학적으로 다시 정의하여 사용되고 있습니다. 그러면, 그리고 의 뜻은 무엇일까요?
미분소
: 함수 의 그래프를 따라서 점이 이동할때의 의 변화량
: 함수 의 그래프를 따라서 점이 이동할때의 의 변화량
: 미분을 통해서 얻은 직선의 그래프를 따라서 점이 이동할때의 의 변화량
: 미분을 통해서 얻은 직선의 그래프를 따라서 점이 이동할때의 의 변화량

설명 미분이란, 0에 무한히 가까운 수 에 대한, 의 변화 를 구하는 것을 뜻합니다. 그러나, 0에 무한히 가까운 수라는 것은 계산을 하는데에는 용이했지만, 결국 그러한 개념은 사라집니다. 대신 현대적 수학에서 말하는 극한이라는 개념이 이를 대체합니다. 극한의 개념을 정립한 코시는 미분계수의 정의를 무한소를 사용하지 않고 하였고, 그리고 원래는 무한소를 뜻하는 기호 그리고 를 다시 정의합니다.
코시의 미분소 정의 인 경우,
여기서, 와 는 무한소가 아니라 실수의 값을 가지는 새로운 변수입니다.
그럼, 위의 식에서 의 뜻은 어떻게 될까요? 로 정의되고, 로 정의됩니다.
여기서, 의 뜻은 다음과 같습니다.
코시의 극한 정의
- 뜻 에 무한히 가까워 짐에 따라서, 가 에 무한히 가까워진다.
- 정의 임의의 에 대하여, 가 존재하여, 이면 항상 이게 된다.
- Note : 무한히 가까워진다라는 개념으로서의 극한은 라이프니츠가 제안했습니다. 무한히 가까워진다라는 표현이나, 0에 무한히 가까운 수라는 것이 필요가 없게 만들기 위해서는, 극한의 엄밀한 정의가 필요하며, 그것을 한 것이 코시입니다. 극한 기호 자체는 코시 이후의 수학자 하디가 제안한 것입니다.
그리고 이런게 미분소입니다. 현대수학에서는 미분형식으로 미분소를 설명합니다만, 저는 일변수 미적분학에 대해서는 그럴 필요가 없다고 생각합니다.
저는 라이프니츠식 설명을 옹호하는 입장입니다. 그리고, 그러한 입장은 논쟁과 비판의 대상입니다. 예를들어서, 를 어떻게 바라보는지 등의 문제에서 입장이 다릅니다. 톰슨의 책에 있는 라이프니츠식 설명에서는 이것은 두 무한소의 비이며, 입니다. 그것은 현대수학 관점에서 (비표준해석학을 포함해서) 받아들이지 않는 입장입니다.
해석학과 달리, 비표준해석학에서는 무한소의 존재가 보장됩니다. 그러나 비표준 해석학에서도, 라 적지는 않습니다. (틀렸다는게 아니라, 이런 서술이 인기가 없다는 느낌입니다.)출처 왜냐하면 (정의 상 실수인) 미분계수와 이 정말로 같도록 하고 싶기 때문입니다. 비표준 해석학에 의하면, 무한소 가 주어지면 는 (실수가 아닐 수 있는) 초실수로서 정확히 주어집니다. 그리고 초실수는 언제나 어떤 실수에 무한히 가깝거나 무한대(얘도 초실수)입니다. 다시 말해서, 은 에 의존하는 변수로서, 의 미분가능성과 상관없이 어떤 초실수로 정확히 주어집니다. 그래서 다음과 같이 코시의 미분소 정의와 유사한 방식으로 를 정의하는게 가능합니다. 단, 코시랑 달리 여기서는 가 무한소이고, 는 에 의존하는 무한소입니다.
로 정의 합니다. 여기서, st는 standard의 약자로 초실수를 그것과 가장 가까운 실수로 대응시키는 함수입니다. st안에 있는 초실수가 무한대인 경우는 가 정의가 안되지요. 그리고 그 외의 경우는 잘 정의됩니다.
(즉 위의 의 정의에서는 코시의 정의와 달리 미분가능성보다 훨씬 약한 조건이 전제되었습니다. 다만, 함수 가 미분 가능한 경우에만, 가 의 미분계수와 정확하게 일치하게 됩니다.)
그래서, 전공 수학책인 Thomas Calculus에서는 를 나누기 가 아니라고 가르칩니다. 여기에 대해서, 솔직한 저의 의견은 이렇습니다.
만약, 를 나누기 로 보는 것이 정말로 타당한지에 대해서 누군가 묻는다면 ... 당신이 그게 형식적으로도 말이 되도록 정의하면 타당한 것이 된다. 그러나, 정의가 사회적 약속이라는 특성상 타당하게 하는 것은 불가능하다. (다시 말해서, 수학자들의 사회가 당신의 정의를 널리 써주어야 타당하게 하는 것이 가능하다.) 라고 답할 것 입니다.
예를 들어서, 이상준 수학 교수의 영상을 보세요. 교수님의 목적은 학생들이 을 그냥 형식적으로 쓰면서 겪는 마음의 불편함을 해소시키는데 있습니다. 이 분처럼 설명하면, 나누기로 봐도 됩니다.
실바누스 톰슨의 책은 나누기 인 근거가 될 수 없다.
실바누스 톰슨의 책은 엄밀함을 희생하여 적은 수학책이므로, 절대로 가 나누기라는 해석의 근거 될 수 없습니다. 참고로, 실바누스 톰슨 책의 는 비표준해석학이 정의하는 무한소와 전혀 다른 겁니다. 그래서, 무한소로 생각하면 나누기로 보아도 된다는 명제도 톰슨의 책을 정당화 하지 못합니다.
실바누스 톰슨의 책은 상당히 유용합니다. 그렇게 생각하는 가장 큰 이유는 제가 처음 고등학생 때 미적분학을 배울때, 이런 관점으로 배우고 이해했기 때문이고 지금 돌아봐도 이렇게 이해하고 있는게 쉽기 때문입니다. 계속 강조하지만 미적분학은 반드시 쉽게 느껴야만 합니다. 그래야지 수학이 재밌어져요.
실바누스 톰슨의 책에서는 를 의 매우 작은 변화라고 설명하고 있습니다. 그리고, 미분법을 단순히 의 작은 변화를 뜻하는 와 의 작은 변화를 뜻하는 의 비율을 계산하는 것으로 설명합니다.
그것은 미적분학을 전혀 모르는 사람에게는 훌륭한 설명이지만, 상당한 비판의 요소가 있습니다. 그것은, 일관성이 없다는 것입니다. 언제는 를 0이 아닌 수로 여김으로서 나누기를 용이하게 하다가, 또 언제는 그것을 0에 가깝다는 이유로 소거하기 때문입니다. (물론, 책에서는 정성적으로 이러한 계산의 의미를 설명해주지만) 그래서 가 도대체 뭔데?라는 질문에는 전혀 답하지 못하므로 나누기 인 근거가 될 수 없다는 것입니다.
그렇다면, 미분형식개념을 이용해서, 를 나누기 로 보는 것도 불가능한가?
불가능하다고 알고계시면 되겠습니다. 정확한 표현은, 수학자들이 를 나누기 로 사회적으로 합의하지 않았다는 것입니다.
다변수 해석학 (수학과 기초 전공 수업 이름입니다)에서 미분형식 계산들을 소개해주신 교수님의 말씀에 의하면 미분형식을 그냥 기호라고 생각해도 좋다. 다만, 이것이 스토크스정리 (일반화된 미적분학의 기본정리)를 형식적으로 설명해준다며 미적분학의 기본정리를 강조하셨습니다.
그러니깐, 미분형식은 단순히 미적분학의 기본정리가 자연스럽게 적어지게 하도록 설계한 기호입니다. 즉, 미적분학의 기본정리를 이해하는게 미분형식을 이해하는 것입니다. 그래서, 미분형식의 세계에서는 가 수학적으로 성립합니다. (여기서, 미분형식의 정의에 대한 설명은 하지 않았음을 강조합니다. 정의와 별개로, 미분형식을 도입한 동기에 의해서, 가 꼭 성립해야만 하는 식이라는 겁니다.)
그러면, 일부 독자는 라는 식에서, 를 나누면 나누기로 볼 수 있음이 증명되는거 아닌가?라고 생각 하실 수 있을 것 같습니다. 그러나, 미분형식이라는 수학적대상(단순히 선형함수입니다.)의 특성상 그게 그렇게 안됩니다.
예를들어서, 행렬 에 대해서 인 에 대해서 인 것은 아니지 않습니까? (애시 당초 행렬에서는 라는 표기가 없습니다.) 제 주관적인 생각은 이렇습니다. 는 마치 행렬 와 행렬 의 나눗셈을 기호를 정의해서, (단, 는 가역행렬)이라는 기호를 사용하자는 MATLAB 문법처럼 미분 형식의 관점에서는 이상한 표기에 불과합니다.
위키피디아에는 미분형식의 정의가 명시되어 있습니다. 그렇게 어떠한 정의가 딱 위키에 명시적으로 적힌다는 것은, 미분형식을 형식화 하는 방법은 여러가지가 있지만, 미분형식이 무엇인지는 사회적으로 충분히 합의가 되었다는 것을 시사합니다. 그리고 정의 기준으로, 나누기로 보는 순간 (라는 정의에서) 오류가 생기기 때문에, 는 절대로 분수가 아닙니다. (수학은 설정충돌을 허락하지 않습니다.)
그러나, 마치, 정수 자료형 변수와 실수 자료형 변수를 논리적으로는 서로 비교할 수 없지만, 그러한 명령을 우리가 코드로 적을 수 있고 (그 코드의 실제 뜻은, 정수 자료형을 실수 자료형으로 형 변환하고 비교하라는 명령이 되지만) 사람으로서는 그 코드를 단순하게 (변수간 비교라고) 생각하면서 코딩을 하듯이 저는 를 정말로 나누기 로 생각합니다.