
GOAL
- 토큰이 high dimension space 에서 벡터로써 맵핑되는 Embedding 에 대해 배우기
- Embeddings 와 labelled examples 와 함께 , 벡터 공간에서 유사한 의미를 가진 단어가 비슷한 방향으로 갈 수 있도록 벡터를 조정할 수 있음
- text 의 감성을 이해할 수 있는 neural network 를 훈련하는 과정
- 영화 리뷰 데이터 살펴보기
`( 참고 ) IMDB reviews dataset
- 50,000 개의 movie review 데이터를 포함 ( positive / negative )
- 1.x 라면 아래 코드 적용하기
imdb , info = tfds.load("imdb_reviews" ,with_info = True , as_supervised =True)
import numpy as np
train_data , test_data = imdb['train'] , imdb['test']
training_sentences = []
training_labels = []
testing_sentences = []
testing_labels = []
# Loop over all training examples and save the sentences and labels
for s,l in train_data:
training_sentences.append(s.numpy().decode('utf8'))
training_labels.append(l.numpy())
# Loop over all test examples and save the sentences and labels
for s,l in test_data:
testing_sentences.append(s.numpy().decode('uft8'))
testing_labels.append(l.numpy)
# neural network 는 input type 으로 numpy array 을 사용하므로 변환
training_labels_final = np.array( training_labels )
test_labels_final = np.array( test_labels )
( 참고 )Tensor 로 저장된 text 와 label
vocab_size = 10000
embedding_dim = 16
max_length = 120
trunc_type = 'post'
oov_tok = "<OOV>"
from tensorflow.keras.preprocessing.text import Tokenizer
from tensorflow.keras.preprocessing.sequence import pad_sequences
tokenizer = Tokenizer(num_words = vocab_size , oov_token = oov_tok )
tokenizer.fit_on_texts( training_sentences )
word_index = tokenizer.word_index
sequences = tokenizer.texts_to_sequences(training_sentences)
padded = pad_sequences(sequences , maxlen = max_length , truncating =trunc_type )
testing_sequences = tokenizer.texts_to_sequences(testing_sequences)
testing_padded = pad_sequences( testing_sequences, maxlen=max_length)
model = tf.keras.Sequenctial([
tf.keras.layers.Embedding(vocab_size, embedding_dim, input_length = max_length ) ,
tf.keras.layers.Flatten(),
tf.keras.layers.Dense(6,activation='relu'),
tf.keras.layers.Dense(1,activation='sigmoid')
])
model = tf.keras.Sequenctial([
# size가 16인 2D array 를 반환
tf.keras.layers.Embedding(vocab_size , embedding_dim , input_length = max_length ) ,
tf.keras.layers.GlobalAveragePooling1D(),
# tf.keras.layers.Flatten(),
tf.keras.layers.Dense( 6, activaiton='relu'),
tf.keras.layers.Dense( 1, activation='sigmoid')
])
Flatten() 을 사용했을 때 model.summary()

GlobalAveragePooling1D() 를 사용했을 때 , model.summary()

GlobalAveragePooling1D() 를 사용했을 때 조금 더 빠르고 간편했다.
- Flatten() : tensor의 모든 값을 유지하면서 1차원으로 변환
overfitting에 빠질 위험이 있다. 대량의 데이터가 있는 경우에는 좋은 효과를 낼 수 있음- GlobalAveragePooling1D() : 각 feature dimension 에 average pooling 적용
model.compile(loss='binary_crossentropy', optimizer='adam', metrices=['accuracy'])
mdoel.summary()
num_epochs = 10
model.fit( padded ,
training_labels_final,
epochs=num_epochs,
validation_data = (testing_padded, testing_labels_final) )

e = model.layers[0]
weights = e.get_weights()[0]
print(weights.shape) # shape: (vocab_size, embedding_dim)
# ( 10000 , 16 )

out_v = io.open('vecs.tsv', 'w', encoding='utf-8')
out_m = io.open('meta.tsv', 'w', encoding='utf-8')
for word_num in range ( 1, vocab_size ) :
word = reverse_word_index[word_num]
embeddings = wights[word_num]
out_m.write(word + "\n")
out_v.write('\t'.join([str(x) for x in embeddings]) + "\n")
out_v.close()
out_m.close()
from google.colab import files
except ImportError:
pass
else:
files.download('vecs.tsv')
files.download('meta.tsv')
# Install this package if running on your local machine
# !pip install -q tensorflow-datasets
print(info) 로 데이터 셋의 정보를 볼 수 있다.import tensorflow_datasets as tfds
# Load the IMDB Reviews dataset
imdb, info = tfds.load("imdb_reviews", with_info=True, as_supervised=True)

tf.data.Dataset 이다.# Take 2 training examples and print its contents
for example in imdb['train'].take(2):
print(example)

numpy array 로 변환하여 데이터 준비 import numpy as np
# Get the train and test sets
train_data , test_data = imdb['train'] , imdb['test']
# Initialize sentences and labels lists
training_sentences = []
training_labels = []
testing_sentences = []
testing_labels = []
# Loop over all training examples and save the sentences and labels
for s,l in train_data:
training_sentences.append(s.numpy().decode('utf8'))
training_labels.append(l.numpy())
# Loop over all test examples and save the sentences and labels.
for s,l in test_data:
testing_sentences.append(s.numpy().decode('utf8'))
testing_labels.append(l.numpy())
# Convert labels lists to numpy array
training_labels_final = np.array(training_labels)
testing_labels_final = np.array(testing_labels)
# Parameters
vocab_size = 10000
max_length = 120
embedding_dim = 16
trunc_type='post'
oov_tok = "<OOV>"
from tensorflow.keras.preprocessing.text import Tokenizer
from tensorflow.keras.preprocessing.sequence import pad_sequences
# Initialize the Tokenizer class
tokenizer = Tokenizer(num_words = vocab_size, oov_token=oov_tok)
# Generate the word index dictionary for the training sentences
tokenizer.fit_on_texts(training_sentences)
word_index = tokenizer.word_index
# Generate and pad the training sequences
sequences = tokenizer.texts_to_sequences(training_sentences)
padded = pad_sequences(sequences,maxlen=max_length, truncating=trunc_type)
# Generate and pad the test sequences
testing_sequences = tokenizer.texts_to_sequences(testing_sentences)
testing_padded = pad_sequences(testing_sequences,maxlen=max_length, truncating=trunc_type)
( 참고 )word_embeddings 문서보기
import tensorflow as tf
## Build the model
model = tf.keras.Sequential([
tf.keras.layers.Embedding( vocab_size , embedding_dim , input_length = max_length),
tf.keras.layers.Flatten(),
tf.keras.layers.Dense( 6, activaiton = 'relu'),
tf.keras.layers.Dense( 1, activaiton = 'sigmoid')
])
# Setup the training parameters
model.compile(loss='binary_crossentropy', optimizer='adam', metrics=['accuracy'])
# Print the model summary
model.summary()

(e.g. the vocab_size, number of Dense neurons, number of epochs, etc.) 성능을 높여볼 수 있다.num_epochs = 10
# Train the model
model.fit(padded, training_labels_final, epochs=num_epochs, validation_data=(testing_padded, testing_labels_final))
# Get the embedding layer from the model (i.e. first layer)
embedding_layer = model.layers[0]
# Get the weights of the embedding layer
embedding_weights = embedding_layer.get_weights()[0]
# Print the shape. Expected is (vocab_size, embedding_dim)
print(embedding_weights.shape)
reverse_word_index 얻기OOV 는 항상 index 1 을 가진다. # Get the index-word dictionary
reverse_word_index = tokenizer.index_word
import io
# Open writeable files
out_v = io.open('vecs.tsv','w', encoding='utf-8')
out_m = io.open('meta.tsv','w', encoding='utf-8')
# Initialize the loop. Start counting at '1' becuase '0' is just for the padding
for word_num in range( 1 , vocab_size ) :
# Get the word associated at the current index
word_name = reverse_word_index[word_num]
# Get the embedding weights associated with the current index
word_embedding = embedding_weights[word_num]
# Write the word name
out_m.write(word_name +"\n")
# Write the word embedding
out_v.write('\t'.join([str(x) for x in word_embedding])+"\n")
# Close the files
out_v.close()
out_m.close()
# Import files utilities in Colab
try:
from google.colab import files
except ImportError:
pass
# Download the files
else:
files.download('vecs.tsv')
files.download('meta.tsv')

import json
import tensorflow as tf
from tensorflow.keras.preprocessing.text import Tokenizer
from tensorflow.keras.preprocessing.sequence import pad_sequences
vocab_size = 10000
embedding_dim = 16
max_length = 32
trunc_type = 'post'
padding_type = 'post'
oov_tok = "<OOV>"
training_size = 20000
with open("/tmp/sarcasm.json",'r') as f:
datastore = json.load(f)
sentences = []
labels = []
for item in datastore:
sentences.append(item['headline'])
labels.append(item['is_sarcastic'])
training_sentences = sentences[0:training_size]
testing_sentences = sentences[training_size:]
training_labels = labels[0:training_size]
testing_labels = labels[training_size:]
tokenizer = Tokenizer(num_words=vocab_size, oov_token=oov_tok)
tokenizer.fit_on_texts(training_sentences)
word_index = tokenizer.word_index
training_sequences = tokenizer.texts_to_sequences(training_sentences)
training_padded = pad_sequences(training_sequences , maxlen=max_length, padding=padding_type , truncating=trunc_type)
testing_sequences = tokenizer.texts_to_sequences(testing_sentences)
testing_padded = pad_sequences(testing_sequences , maxlen = max_length , padding = padding_type , truncating=trunc_type)
model = tf.keras.Sequential([
tf.keras.layers.Embedding(vocab_size , embedding_dim , input_length = max_length),
tf.keras.layers.GlobalAveragePooling1D(),
tf.keras.layers.Dense(24,activaiton='relu'),
tf.keras.layers.Dense(1,activaiton='sigmoid')
])
model.compile( loss='binary_crossentropy',optimizer='adam',metrics=['accuracy'])

num_aepochs = 30
history = model.fit(training_padded, training_labels, epochs = num_epochs , valdation = ( testing_padded , testing_labels ) , verbose = 2 )
import matplotlib.pyplot as plt
def plot_graphs(history, string):
plt.plot(history.history[string])
plt.plot(history.history['val_' + string])
plt.xlabel("Epochs")
plt.ylabels(string)
plt.legend([string, 'val_' + string])
plt.show()
plot_graphs(history,"acc")
plot_graphs(history,"loss")

vocab_size = 1000 # 10000
embedding_dim = 16
max_length = 16 # 32
trunc_type = 'post'
padding_type = 'post'
oov_tok = "<OOV>"
training_size = 20000

vocab_size = 1000 # 10000
embedding_dim = 32 # 16
max_length = 16 # 32
trunc_type = 'post'
padding_type = 'post'
oov_tok = "<OOV>"
training_size = 20000

단어의 순서 가 단어의 유무만큼 중요하다 !TensorFlow datasets
- News Headlines Dataset for Sarcasm Detection 를 이용하여 hyper parameters 수정이 결과에 어떤 영향을 미치는지 알아보자
import json
# Load the JSON file
with open("./sarcasm.json",'r') as f:
datastore = json.load(f)
# Initialize the lists
sentences = []
labels = []
# Collect sentences and labels into the lists
for item in datastore:
sentences.append(item['headline'])
labels.append(item['is_sarcastic'])
# Number of examples to use for training
training_size = 20000
# Vocabulary size of the tokenizer
vocab_size = 10000
# Maximum length of the padded sequences
max_length = 32
# Output dimensions of the Embedding layer
# Split the sentences
training_sentences = sentences[0:training_size]
testing_sentences = sentences[training_size:]
# Split the labels
training_labels = labels[0:training_size]
testing_labels = labels[training_size:]
Tokenizer 와 pad_sequences 를 이용하여 가공해보기 import numpy as np
from tensorflow.keras.preprocessing.text import Tokenizer
from tensorflow.keras.preprocessing.sequence import pad_sequences
# Parameters for padding and OOV tokens
trunc_type = 'post'
padding_type = 'post'
oov_tok = "<OOV>"
# Initialize the Tokenizer class
tokenizer = Tokenizer(num_words = vocab_size , oov_token = oov_tok )
# Generate the word index dictionary
tokenizer.fit_on_texts( training_sentences )
word_index = tokenizer.word_index
# Generate and pad the training sequences
training_sequences = tokenizer.texts_to_sequences(training_sequences)
training_padded = pad_sequences(training_sequences, maxlen=max_length, padding=padding_type, truncating = trunc_type )
# Generate and pad the testing sequences
testing_sequences = tokenizer.texts_to_sequences(testing_sequences)
testing_padded = pad_sequences( testing_sequences , maxlen= max_length, padding = padding_type , truncating = trunc_type )
# Convert the labels list into numpy arrays
training_labels = np.array(training_labels)
testing_labels = np.array(testing_labels)
Flatten 대신 GlobalAveragePooling1D 사용 Notice that it gets the average over 3 arrays (i.e. (10 + 1 + 1) / 3 and (2 + 3 + 1) / 3 to arrive at the final output.import tensorflow as tf
# Initialize a GlobalAveragePooling1D (GAP1D) layer
gap1d_layer = tf.keras.layers.GlobalAveragePooling1D()
# Define sample array
sample_array = np.array([[10,2],[1,3],[1,1]]])
# Print shape and contents of sample array
print(f'shape of sample_array = {sample_array.shape}')
print(f'sample array: {sample_array}')
# Pass the sample array to the GAP1D layer
output = gap1d_layer(sample_array)
# Print shape and contents of the GAP1D output array
print(f'output shape of gap1d_layer: {output.shape}')
print(f'output array of gap1d_layer: {output.numpy()}')
# ( 10 + 1 + 1 ) / 3 = 4
# ( 2 + 3 + 1 ) / 3 = 2

Flatten() 에 비해 차원이 축소되고 parameter의 수가 줄어든다는 장점이 있다. GlobalAveragePooling1D 을 사용했을 때 model = tf.keras.Sequential([
tf.keras.layers.Embedding(vocab_size, embedding_dim , input_length=max_length),
tf.keras.layers.GlobalAveragePooling1D(),
tf.keras.layers.Dense(24, activation='relu'),
tf.keras.layers.Dense(1,activation='sigmoid')])
model.summary()

Flatten 을 사용했을 때
model.compile(loss='binary_crossentropy',optimizer='adam',metrics=['accuracy'])
( 참고 )documentation : verbose 에 따라 출력 로그가 달라진다. 상용레벨에서는 verbose 를 2로 설정하는 것을 추천한다.import matplotlib.pyplot as plt
# Plot utility
def plot_graphs(history,string):
plt.plot(history.history[string])
plt.plot(history.history['val_'+string])
plt.xlabel("Epochs")
plt.ylabel(string)
plt.legend([string, 'val_'+string])
plt.show()
# Plot the accuracy and loss
plot_graphs(history, "accuracy")
plot_graphs(history, "loss")

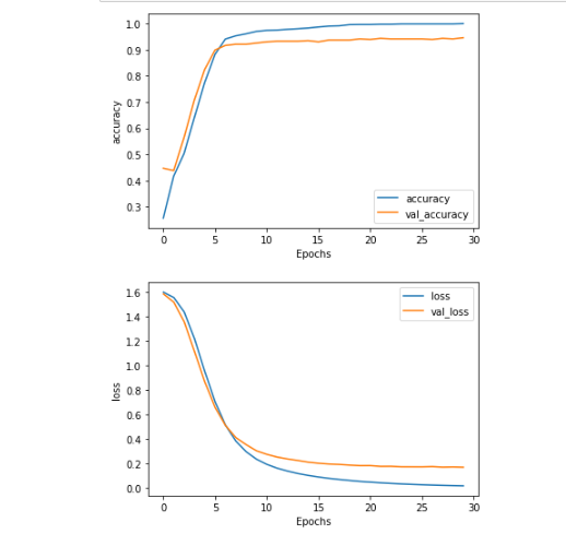
Flatten() 을 사용했을 때 : overfitting 양상을 보임

hyperparameters 조정
# Number of examples to use for training
training_size = 20000
# Vocabulary size of the tokenizer
vocab_size = 1000
# Maximum length of the padded sequences
max_length = 16
# Output dimensions of the Embedding layer
embedding_dim = 16

( 참고 )SubwordTextEncoder( 참고 )C3_W2_Lab_3_imdb_subwords.ipynb 코드 바로가기
Tokenizer 를 대신할 수 있는 pre-tokenized dataset 에 대해 알아보자.TF에서 제공하는 IMDB Reviews 에는 두 가지 타입의 데이터가 있다.
plain_text- this is the default and the one you used in Lab 1 of this weeksubwords8k- a pre-tokenized dataset (i.e. instead of sentences of type string, it will already give you the tokenized sequences). You will see how this looks in later sections.
plain_text

subwords8k


Sequence becomes much more important when dealing with subwords, but we’re ignoring word positions
import io
import csv
import tensorflow as tf
import numpy as np
from tensorflow.keras.preprocessing.text import Tokenizer
from tensorflow.keras.preprocessing.sequence import pad_sequences
import matplotlib.pyplot as plt
{category,article} 로 데이터가 구성되어 있다. with open("./bbc-text.csv",'r') as csvfile:
print(f"First line (header) looks like this:\n\n{csvfile.readline()}")
print(f"Each data point looks like this:\n\n{csvfile.readline()}")

NUM_WORDSEMBEDDING_DIMMAXLENPADDINGOOV_TOKENTRAINING_SPLITNUM_WORDS = 1000
EMBEDDING_DIM = 16
MAXLEN = 120
PADDING = 'post'
OOV_TOKEN = "<OOV>"
TRAINING_SPLIT = .8
def remove_stopwords(sentence):
"""
Removes a list of stopwords
Args:
sentence (string): sentence to remove the stopwords from
Returns:
sentence (string): lowercase sentence without the stopwords
"""
# List of stopwords
stopwords = ["a", "about", "above", "after", "again", "against", "all", "am", "an", "and", "any", "are", "as", "at", "be", "because", "been", "before", "being", "below", "between", "both", "but", "by", "could", "did", "do", "does", "doing", "down", "during", "each", "few", "for", "from", "further", "had", "has", "have", "having", "he", "he'd", "he'll", "he's", "her", "here", "here's", "hers", "herself", "him", "himself", "his", "how", "how's", "i", "i'd", "i'll", "i'm", "i've", "if", "in", "into", "is", "it", "it's", "its", "itself", "let's", "me", "more", "most", "my", "myself", "nor", "of", "on", "once", "only", "or", "other", "ought", "our", "ours", "ourselves", "out", "over", "own", "same", "she", "she'd", "she'll", "she's", "should", "so", "some", "such", "than", "that", "that's", "the", "their", "theirs", "them", "themselves", "then", "there", "there's", "these", "they", "they'd", "they'll", "they're", "they've", "this", "those", "through", "to", "too", "under", "until", "up", "very", "was", "we", "we'd", "we'll", "we're", "we've", "were", "what", "what's", "when", "when's", "where", "where's", "which", "while", "who", "who's", "whom", "why", "why's", "with", "would", "you", "you'd", "you'll", "you're", "you've", "your", "yours", "yourself", "yourselves" ]
# Sentence converted to lowercase-only
sentence = sentence.lower()
words = sentence.split()
no_words = [ w for w in words if w not in stopwords ]
sentence = " ".join(no_words)
return sentencee
def train_val_split( sentences , labels , training_split):
"""
Splits the dataset into training and validation sets
Args:
sentences (list of string): lower-cased sentences without stopwords
labels (list of string): list of labels
training split (float): proportion of the dataset to convert to include in the train set
Returns:
train_sentences, validation_sentences, train_labels, validation_labels - lists containing the data splits
"""
### START CODE HERE
num_of_sentences = len(sentences)
training_size = int(num_of_sentences * training_split)
# Split the sentences and labels into train/validation splits
train_sentences = sentences[:training_size]
train_labels = labels[:training_size]
validation_sentences = sentences[training_size:]
validation_labels = labels[training_size:]
### END CODE HERE
return train_sentences , validation_sentences , train_labels , validation_labels

fit_tokenizer 구현하기def fit_tokenizer(train_sentences , num_words , oov_token):
"""
Instantiates the Tokenizer class on the training sentences
Args:
train_sentences (list of string): lower-cased sentences without stopwords to be used for training
num_words (int) - number of words to keep when tokenizing
oov_token (string) - symbol for the out-of-vocabulary token
Returns:
tokenizer (object): an instance of the Tokenizer class containing the word-index dictionary
"""
### START CODE HERE
# Instantiate the Tokenizer class. passing in the correct values for num_words and oov_token
tokenizer = Tokenizer( num_words = NUM_WORDS , oov_token = OOV_TOKEN )
# Fit the tokenizer to the training sentences
tokenizer.fit_on_texts(train_sentences)
### END CODE HERE
return tokenizer
seq_and_pad 함수 구현def seq_and_pad( sentences , tokenizer , padding , maxlen ) :
"""
Generates an array of token sequences and pads them to the same length
Args:
sentences (list of string): list of sentences to tokenize and pad
tokenizer (object): Tokenizer instance containing the word-index dictionary
padding (string): type of padding to use
maxlen (int): maximum length of the token sequence
Returns:
padded_sequences (array of int): tokenized sentences padded to the same length
"""
### START CODE HERE
# Convert sentences to sequences
sequences = tokenizer.text_to_sequences(sentences)
# Pad the sequences using the correct padding and maxlen
padded_sequences = pad_sequences( sequences , max_len = MAXLEN , padding = PADDING )
### END CODE HERE
return padded_sequences
tokenize_labels 함수 구현pad_sequences 를 사용했다. label 에는 해당 함수를 사용할 필요가 없으므로 직접 numpy array 로 변환해야한다.split_labels 의 argument 는 특정한 split 의 라벨을 언급한다.(?) 이 함수는 독립적으로 split 되어 작동한다. (?)np.array - 1 로 목표를 쉽게 달성할 수 있음을 기억하라.def toeknize_labels(all_labels, split_labels) :
"""
Tokenizes the labels
Args:
all_labels (list of string): labels to generate the word-index from
split_labels (list of string): labels to tokenize
Returns:
label_seq_np (array of int): tokenized labels
"""
### START CODE HERE
# Instantiate the Tokenizer ( no additional arguments needed )
label_tokenizer = Tokenizer()
# Fit the tokenizer on all the labels
label_tokenizer.fit_on_texts( all_labels)
# Convert labels to sequences
label_seq = label_tokenizer.texts_to_sequences( split_labels )
# Convert sequences to a numpy array. Don't forget to substract 1 from every entry in the array !
label_seq_np = np.array(label_seq)-1
### END CODE HERE
return label_seq_np
create_model 구현loss function 으로
sparse_categorical_crossentropy를 이용하여 test function 에서 확인되지 않은 category 도 사용할 수 있도록 함.
각 데이터를 알맞은 카테고리로 분류해보자.
def create_model(num_words , embedding_dim , maxlen ) :
"""
Creates a text classifier model
Args:
num_words (int): size of the vocabulary for the Embedding layer input
embedding_dim (int): dimensionality of the Embedding layer output
maxlen (int): length of the input sequences
Returns:
model (tf.keras Model): the text classifier model
"""
tf.random.set_seed(123)
### START CODE HERE
model = tf.keras.Sequential([
tf.keras.layers.Embedding(num_words , embedding_dim , maxlen ),
tf.keras.layers.GlobalAveragePooling1D(),
tf.keras.layers.Dense(32 , activaiton = 'relu')
tf.keras.layers.Dense( 5 , activation = 'softmax')
])
model.compile( loss ='sparse_categorical_crossentropy',
optimizer='adam',
metrics=['accuracy'])
### END CODE HERE
return model

training 에서 사용된 각 단어의 연관 벡터를 3D 공간에서 시각화할 수 있다.
아래 셀을 실행하고 Tensorflow's Embedding Projector 에 방문해보자.
The above is true if global variables are not modified.
Notice that this shape will always be (NUM_WORDS, EMBEDDING_DIM).
# Reverse word index
reverse_word_index = dict([(value , key ) for ( key , value ) in word_index.items()])
# Save the embedding layer
e = model.layers[0]
# Save the weights of the embedding layer
weights = e.get_weights()[0]
print(f"Weights of embedding layer have shape : {weights.shape}")
vecs.tsv 와 meta.tsv 생성하기 # Generaste files for embedding visualization
out_v = io.open('vecs.tsv', 'w', encoding = 'utf-8')
out_m = io.open('meta.tsv', 'w', encoding = 'utf-8')
for word_num in range( 1, NUM_WORDS):
word = reverse_word_index[word_num]
embeddings = weights[word_num]
out_m.write(word+"\n")
out_v.write('\t'.join([str(x) for x in embeddings]) +"\n")
out_v.close()
out_m.close()