숫자의 정밀도(precision)을 낮추는 최적화 및 경량화 기법
그럼 언제나 정밀도가 높은것이 좋느냐?
아니다. 낮은 정밀도는 오차가 발생하나 계산속도가 향상되고 메모리 사용량도 줄어든다.
그래서 Quantization의 최대 목표는오차를 최소화 하는 낮은 정밀도 표현을 찾는 것이다.
Quantization의 에러가 커질수록 성능 저하
350.5, 1.5, -350.5를 INT8로 표현하려면?

-1 에서 +1 사이의 대칭적인 분포를 가짐Quantization Parameters
- 어떤 값들을 실제로 저장해야 할까?
양자화된 값들을 저장하고 이를 복원(역양자화)하는 방식으로 사용
양자화 방식
어떠한 방식을 활용했는지 등의 메타데이터Quantized value
양자화를 거쳐서 나온 실제 값Scale factor(s)
기울기 값Zero-point(z)
0의 양자화 후 위치
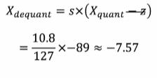
- 수식
s와 z만 구하면 모든 값 양자화/역양자화 가능

데이터에서 절대값의 최대값(absmax) 계산(기준값)
기준값 x 2가 변환 후 -127 ~ 127이 되도록 scaling

비율대로 다른 값들을 INT8 내에서 조정
Absmax의 경우 대칭방식이라 zero-point는 항상 0!
z = 0

양자화된 데이터가 부동소수 없이 모두 정수로 저장되어 있음을 볼 수 있다.
Dequantize 계산

복원 후 데이터



양자화된 데이터는 IN8로 저장하지만,
Scale factor Zero-point의 경우에는 높은 정밀도로 저장한다. 어차피 공간 얼마 차지 안하니까!복원용도인 둘은 높은 정밀도로 저장하는게 좋다!





저장해야할 값은
absmax 같은 경우에는 어차피 0이라 zero-point를 저장하지 않는다.

| Mapping | 기준값 | 대칭성 | 주 용도 | 한계 |
|---|---|---|---|---|
| Absmax Quantization | 절대값의 최대값 | 대칭 | 0이 중요한 경우 | 극단적인 값에 예민 |
| Zero-point Quantization | 최대-최소의 차이 | 비대칭 | 비대칭 분포인 경우 | 기준점(0점)이 비정상적일 경우 성능이 떨어질 수 있음 |
극단적인 값에 예민할 때에는 어떻게 해야하는가?
Clipping
극단적인 outlier 값의 영향을 줄이기 위한 기술
일정 범주를 넘어가면 같은 값으로 취급하기

가령 범주를 [-5, 5]라고 지정했다면, 256 같은 값을 5로 바꾼 후에 quantize 진행
이 좋은 범주(range)를 찾는 과정을 calibration이라고 함