교류 전압을 동일 주파수를 갖는 다른 크기의 전압으로 변환
= AC전압 크기 변환
전력 동일 (Pin = Pout)
변압기의 한계
변압기의 기본 구성
1차 코일 (Primary coil) : 교류 전원을 입력받는 코일
2차 코일 (Secondary coil) : 전압이 변화되어 출력되는 코일
철심 (Core)
두 코일 사이의 자기장을 효율적으로 전달하기 위한 재료로, 일반적으로 철이나 규소강판으로 구성.
작동 원리: 전자기 유도
변압기는 패러데이의 전자기 유도 법칙을 기반으로 작동
1차 코일에 교류 전압을 인가하면, 그 안에 변화하는 자기장이 생성
이 자기장은 철심을 통해 2차 코일에 전달
2차 코일은 이 변화하는 자기장에 의해 유도 기전력(emf)이 발생하여 전압이 생성
① 패러데이의 법칙
자속이 시간에 따라 변하면, 기전력(전압)이 발생
② 렌츠의 법칙
유도된 전류는 항상 자속의 변화를 방해하는 방향으로 흐름
금속 산화물 (주로 철 산화물과 다른 금속 산화물의 혼합)으로 만든
자성체(자기재료) 코어
페라이트 코어 인덕터 사용의 장점
페라이트 코어 인덕터의 단점
코어의 포화 상태가 문제가 될 수 있음.
자속 밀도가 400mT이면 포화 손실이 발생.
상한 작동 주파수는 기타(와전류) 코어 손실로 인해 제한.
온도 드리프트는 인덕턴스 변화를 유발하며 조정된 필터의 성능을 변경할 수 있다.
페라이트 코어의 AL 값

변압기 구성 요소
권선 (Winding) : 공급 전류,부하 전류가 나타나는 전기회로
철심 (Iron Core) : 자속의 통로 역할을 하는 자기회로
와전류를 극소화시키도록, 절연된 얇은 적층 구조를 함
절연 필요 부분 : 철심과 권선 간의 절연, 권선 상호간의 절연, 권선층 간의 절연
변압기의 회로 기호 및 극성

점 규약
전압 극성 : 점이 있는 부분이 (+)
전류 극성 : 점이 있는 곳에서 전류가, 1차측은 흘러들어가고, 2차측은 흘러나옴


1차 권선에 전류 iP가 흐르면 기자력 NPiP가 발생하여 자속 Φ가 발생.
전류는 AC 전류이기 때문에 자속이 계속해서 변하게 되고 패러데이의 법칙에 의해 유도 전압 발생


권선 구분
1차 권선 (primary winding) : 교류 전압을 포함하는 자속 발생 코일 (전원 연결)
2차 권선 (secondary winding) : 교류 전압이 유도되는 다른 코일 (부하 연결)
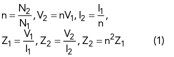
권선비 및 전압비 :
전류비 : → 1,2차측 권선 수에 반비례
임피던스비 :
N1 : 1차측 권선 수
N2 : 2차측 권선 수
(V1 < V2) 면 N1 보다 N2가 큼
인덕터에서 이므로, 1차측과 2차측의 전압비가 권선비로 나타낼 수 있음.
1, 2차측 권선 수에 정비례
승압 (step up) : V1 < V2
강압 (step down) V1 > V2


무부하손 (고정손) : 부하와 상관없이 발생하는 손실
철손(pi) : 자성체 내 자속의 변화로 발생하는 손실, 무부하손의 대부분
히스테리시스 손 : 이전의 결과값이 현재 결과값에 영향 끼침
손실 발생으로 곡선 그래프 진동, 곡선 내부면적 = 손실


부하손 (가변손) : 부하전류에 의해 생기는 손실
동손 : 권선저항에 의해 발생. 대부분의 부하손 ex) 저항손, 구리손
표류부하손 : 동손 제외한 나머지 손실
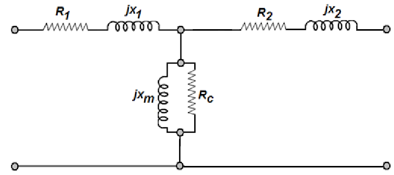
변압기 모델링 회로


자화 인덕턴스와 누설 인덕턴스
자화인덕턴스 (Lm)
누설인덕턴스 (Lpl, Lsl)
코일에서 발생하는 손실
1차측
| 기호 | 명칭 | 물리적 의미 |
|---|---|---|
| Cp | 1차 측 기생 커패시턴스 | 1차 권선 자체의 정전용량. 1차 권선 도체와 절연물 사이, 와인딩 간에서 발생 |
| Rp | 1차 권선 저항 | 1차 권선 도체의 DC/AC 저항 성분 |
| Lp1 | 1차 누설 인덕턴스 | 1차에서 2차로 결합되지 못하고 누설되는 자속에 의해 발생하는 인덕턴스 |
| Rm | 자화 손실 저항 | 코어 손실(히스테리시스 및 와류 손실)을 모델링한 저항 |
| Lm | 자화 인덕턴스 | 실제로 자속을 생성하는 인덕턴스 (코어에 저장된 에너지 반영) |
| Ep | 1차 측 유기 전압 | 자속 변화에 의해 유기되는 기전력 |
| 1:n | 권선비 | 1차 대 2차 권선비. 에너지 전송 및 전압/전류 비 조절에 사용됨 |
2차측
| 기호 | 명칭 | 물리적 의미 |
|---|---|---|
| Es | 2차 측 유기 전압 | 1차에 의해 유도되는 전압 |
| Ls1 | 2차 누설 인덕턴스 | 2차에서 결합되지 않고 손실되는 자속 모델 |
| Rs | 2차 권선 저항 | 2차 도체의 DC/AC 저항 성분 |
| Cs | 2차 측 기생 커패시턴스 | 2차 권선 내부 또는 권선과 GND 사이에서 생기는 정전용량 |
| Cm | 권선 간 상호 기생 커패시턴스 | 1차와 2차 권선 사이의 커플링된 정전용량 (전위차 존재 시 전류 흐름 가능) |
변압기 제작법

원통형(a) 또는 도넛형(b) 형태
https://ko.mfgrobots.com/mfg/it/1008001936.html
측정 주의사항
LCR 미터 사용
1차 인덕턴스(L1), 2차 인덕턴스(L2)측정


누설인덕턴스 측정법 : 2차측 Closed(단락) 상태로 측정





기생 커패시턴스
일반적인 발생 위치

2차측 커패시턴스를 1차측으로 환산
1차측 커패시터 (C1)
1차에서 측정된 전체 커패시턴스 를 LCR 미터 등으로 측정
2차측 OPEN 상태
2차 기생 커패시턴스 가 1차측으로 넘어와 영향
| 항목 | 설명 |
|---|---|
| 1차 권선 ↔ GND(코어) 간 정전용량 | |
| 1차 ↔ 2차 권선 간 커패시턴스 (2차는 부유 상태라 완전 차단되지 않음) | |
| 2차 ↔ GND 커패시턴스가 권선비 제곱만큼 반영되어 1차에서 보이는 값 → |
2차측 커패시터 (C2)
| 항목 | 의미 |
|---|---|
| 2차 권선 ↔ GND(코어) 간 기생 커패시턴스 | |
| 2차 ↔ 1차 커패시턴스가 1차측 부유 상태에서 잔류 경로로 남아 측정값에 포함 | |
| 1차 ↔ GND 커패시턴스가 권선비에 의해 2차에서 본 등가치로 일부 반영 (보통 매우 작음, ) |
양측 쇼트후 측정시 C12o (CM) 상호 커패시턴스 측정 가능
1차 기생 측정, 2차 권선 Open (Floating)
전류 경로 해석
2차측이 부유 상태라도, 공중 정전용량, 인덕턴스 루프, stray capacitance로 인해
C12o에 의한 영향 차단 불가
공진주파수 이용 역산
공진 주파수
기생 커패시턴스
Cs' 계산
계산후 n^2 로 나눠야 함
인덕턴스 : (Lp1 // Lm) + Ls1'

Cp 계산 (2차 단락)
인덕턴스 : (Lm // Ls1') + lp1

Ref
https://www.jkiees.org/archive/view_article?pid=jkiees-29-9-677
https://brandy2000.tistory.com/entry/%EB%B3%80%EC%95%95%EA%B8%B0%EC%9D%98-%EC%9E%90%ED%99%94-%EC%9D%B8%EB%8D%95%ED%84%B4%EC%8A%A4Magnetizing-Inductance%EB%8A%94-%EB%AC%B4%EC%97%87%EC%9D%B8%EA%B0%80
https://m.blog.naver.com/beaver1659/222143127418
https://blog.naver.com/djs03092/222399694416
https://yyxx.tistory.com/126
https://m.cafe.daum.net/skilldadan/SgCd/343
https://www.hiokikorea.com/product/prod_howto.html?c_id=A004
http://www.ktword.co.kr/test/view/view.php?no=6532
https://blog.naver.com/lagrange0115/222742187472
https://www.jkiees.org/archive/view_article?pid=jkiees-29-9-677
https://electricalacademia.com/transformer/equivalent-circuit-transformer-referred-primary-secondary-side/
https://resources.altium.com/kr/p/ferrite-core-selection-and-design-decisions