(Operation Amplifier)

연산 증폭기의 입력 / 출력 단자
1) 반전(Inverting) 입력 단자
입력 신호와 출력 신호가 서로 반전되는 위상(Phase)
2) 비반전(Noninverting) 입력 단자
입력 신호와 출력 신호가 서로 동일한 위상(Phase)
3) 출력 단자
출력 신호가 나오게 되는 단자.
Vout = A⋅(V+−V−)
4) 전원 단자
(+) 전원과 (-) 전원이 인가되는 단자

Rin = ∞
Rout = 0Ω
Rin으로 큰 전압을 가져오기 위해 Ideal opamp에서 Rin = ∞
Ideal opamp에서 이론상 입력단의 전류는 0이다.
Vout에 전압을 온전히 보내기 위해 Ideal opamp에서 Rout = 0Ω 이다.
입력임피던스 Zin = ∞ ,
출력임피던스 Zout = 0,
전압이득 Av = ∞
오차 X, 내압 무한대
가상단락 :
가상접지 :
실제로 접지와 연결되지 않았지만, 전압이 0V인 점처럼 동작하는 노드를 의미
반전 증폭기 회로에서, OP AMP의 음의 피드백으로 인해 반전 입력단(−)의 전압이 실제 접지처럼 0V가 되지만, 실제로 GND에 연결된 것은 아닌 상태를 말함.
전압 : 0V (접지처럼 보임)
전류 : 흐르지 않음 (입력 임피던스 무한대)
작동원리
비반전 입력이 GND에 연결되어 V+ = 0V
피드백이 존재하므로 V- = V+ = 0V → 접지된 것처럼 보임
하지만 실제 접지와는 연결 X → "가상" 접지

| 항목 | 가상 단락 (Virtual Short) | 가상 접지 (Virtual Ground) |
|---|---|---|
| 정의 | ||
| 위치 | OP AMP 두 입력 단자 사이 | OP AMP 반전 입력 단자 (특정 구성에서) |
| 전류 | 흐르지 않음 | 흐르지 않음 |
| 전압 | 거의 동일 | 거의 0V (접지처럼 보임) |
| 조건 | 음의 피드백 존재, 포화 X | 비반전 입력이 GND일 때 |
| 사용 회로 | 비반전, 반전, 차동 증폭기 등 | 반전 증폭기, 서밍 증폭기 등 |
(Inverting Amplifier)


(Non-inverting Amplifier)

In (i-) = 0
점 찍힌 부분의 전압 Vin -> Vin / R1 = (Vout - Vin) / R2

(Differential Amplifier)


✅ 특징:
반전(-) 입력과 비반전(+) 입력이 모두 신호 입력으로 사용됨.
입력으로 들어오는 두 신호(V+와 V-)의 차이를 증폭.
출력이 다른 신호처리 회로로 전달됨.
센서 신호 증폭, 노이즈 제거, 신호 비교 등에 사용.
✅ 구별 방법:
OPAMP의 두 개의 입력 단자(+,-)가 모두 신호를 받으면 차동 증폭기.
출력이 직접적인 전압 제어 루프에 연결되지 않음.
전원 제어 회로에서 사용되지 않음 (센서 신호 증폭, 신호 처리에 사용됨).
수식
Vout = A(V+ - V-)
A : gain, V+ : +입력전압, V- : -입력전압
(Error Amplifier)

'+' 입력 : 기준 전압(Vref)
'–' 입력 : 피드백 전압(Vfb)
출력 : Vout = A × (Vref – Vfb)
Vfb < Vref → 출력 증가 → 출력 전압 상승 유도
Vfb > Vref → 출력 감소 → 출력 전압 하강 유도
Vfb = Vref → 출력 안정 상태 (루프 정상)
오차증폭기(Error Amplifier) 는 목표값(Reference)과 실제 측정값(Feedback) 간의 차이(오차) 를 증폭하여 제어 신호로 전환하는 회로.
오차 증폭기의 역할은 입력 신호의 차이( VERR = VREF − VFB )를 증폭하여 출력 신호로 제공하고, 피드백 루프를 통해 시스템의 출력이 목표값(VREF)에 도달하도록 제어하는 것
(-) 단자 전압이 클 때: 출력 전압을 감소시켜 피드백 전압을 낮춥니다.
(+) 단자 전압이 클 때: 출력 전압을 증가시켜 피드백 전압을 높입니다.
입력 신호 비교
오차 증폭기는 두 입력 신호를 비교하여 차이를 계산.
하나의 입력은 기준 전압(Reference Voltage),
다른 하나는 출력에서 피드백된 전압(Feedback Voltage).
두 신호 간의 차이를 오차(Error)
계산된 오차를 증폭하여 출력 신호로 제공합니다.
증폭된 오차 신호는 시스템의 제어 루프에서 사용되어 출력 상태를 조정합니다.
제어 신호 생성
증폭된 오차 신호는 주로 PWM(Pulse Width Modulation) 컨트롤러, 스위칭 소자, 또는 다른 제어 장치로 전달되어 출력 상태를 안정화하는 데 사용
OPAMP의 한쪽 입력이 기준 전압
다른 입력이 출력에서 피드백 신호를 받으면 오차 증폭기.
출력이 전압 조절 루프에 연결되어 출력 전압을 조절하는 역할.
차동 증폭기와 오차 증폭기
🔹 차동 증폭기 = 두 입력의 차이를 증폭하는 일반적인 증폭기.
🔹 오차 증폭기 = 전압 피드백을 받아 전원 공급을 조절하는 증폭기.
🔹 기준 전압과 피드백 입력을 비교하고 출력이 전압 조절 역할을 하면 오차 증폭기.
🔹 출력이 피드백 없이 증폭 신호로만 사용되면 차동 증폭기.
(Inverting Summing Amplifier)




(Voltage Followers)

전압 팔로워는 OPAMP 회로에서 출력을 입력에 직접 피드백하는 회로
회로 구성:
버퍼라고 부르기도 함, 전압이득이 1인 증폭기로 입력전압 = 출력전압
높은 입력 임피던스와 낮은 출력 임피던스를 가져 부하사이의 완충단으로 사용 (신호 전달 시 손실을 최소화)
버퍼를 사용하면 버퍼 이전의 모든 회로의 임피던스를 무시할 수 있음
ex) 먼거리에서 입력 출력에 온전히 전달




Feedback 없는 연산증폭기 회로
Vin단자에 따라 Vout값 변동 (VCC or VEE)
Vin+ > Vin- 면 VCC출력
Vin+ < Vin- 면 VEE출력
연산증폭기의 출력은 연산증폭기의 Power supply 전압을 초과할 수 없음.
V+가 V-보다 조금이라도 더 크다면 V+−V-는 무한대배만큼 증폭, 출력값은 +Bias Voltage Vcc로 Saturation
V-가−V+보다 크다면 출력값은 -Bias Voltage VEE로 Saturation
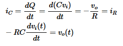
미분기


적분기


: 비교기의 일종으로 High와 Low 출력 만듬
히스테리시스 곡선
출력이 현재 상태에 의존하는 특성
H->L 전압과 L->H 동작 전압이 다름
입력진폭이 일정 값(Vt) 넘으면 급격히 작동해 일정한 출력 얻음
특정값 이하면 즉시 복구
입력 교류파형 특정 전압레벨 이상 or 이하면 출력이 논리전압레벨 '0' 또는 '1' 로 변함
구현회로

UTP (Upper Triggering Point)
: Low 상태에서 전위 상승할 때, High로 인식되는 기준 전압
LTP (Lower Triggering Point)
: High 상태에서 전위 하강할 때, Low로 인식되는 기준 전압
히스테리시스 이용 검출 회로 (Comparator with Hysteresis)


SUMMARY

(1) 기본 피드백 루프
이 회로는 반전 피드백(Negative Feedback) 방식을 사용하여 안정적인 전압을 유지합니다.
🔹 출력 조절 원리
OP-AMP는 입력 차이를 최소화하려고 작동함 → 자동으로 목표 전압에 맞춰 출력 조절.
(2) 회로에서의 피드백 역할
OP-AMP의 출력 전압이 너무 높으면, 피드백 루프가 이를 감지하여 출력 신호를 낮춤 → 전압 하강.
OP-AMP의 출력 전압이 너무 낮으면, 피드백 루프가 이를 감지하여 출력 신호를 높임 → 전압 상승.
이를 통해 출력 전압이 설정된 목표값을 초과하거나 부족하지 않도록 유지.
피드백 시스템의 실제 회로 동작
🔹 정상적인 동작 시
DAC가 2V를 출력하면 OP-AMP 피드백을 통해 출력 전압도 2V가 되도록 자동 조정됨.
🔹 출력 전압이 목표보다 낮아졌을 때 (예: 1.8V)
OP-AMP는 비반전 입력(+)과 반전 입력(-)을 비교.
OP-AMP 출력이 증가하여 MOSFET이 더 도통됨.
결과적으로 캐소드 출력 전압이 증가하여 목표값(2V)로 복귀.
🔹 출력 전압이 목표보다 높아졌을 때 (예: 2.2V)
OP-AMP는 출력이 목표보다 높음을 감지.
OP-AMP 출력이 감소하여 MOSFET이 덜 도통.
캐소드 출력 전압이 감소하여 목표값(2V)로 복귀.
Ref
https://twojun-space.tistory.com/83
https://m.blog.naver.com/lagrange0115/220700508042
https://eunkyovely.tistory.com/70
https://tech-factory.tistory.com/entry/%ED%9A%8C%EB%A1%9C%EC%9D%B4%EB%A1%A0-OPAMP%EC%97%B0%EC%82%B0%EC%A6%9D%ED%8F%AD%EA%B8%B0-%ED%95%B4%EC%84%9D
https://2n3904blog.com/low-noise-high-psrr-ldo-error-amplifier/
https://mathphysics.tistory.com/445
Ref
https://m.blog.naver.com/sedi1017/222962875993
https://johnnyjay.tistory.com/53
http://www.ktword.co.kr/test/view/view.php?no=4566
https://blog.naver.com/PostView.naver?blogId=blslrtm&logNo=221530471927
https://blog.naver.com/lymcall/222985573825