KAN: Kolmogorov–Arnold Networks

1. Background
최근 연구 동향
MLP
- 딥러닝 모델의 기본이 되는 알고리즘이자, 구성 요소
- 비선형 함수를 근사하는 목적으로 사용되며, Universal Approximation Theory에 의해 표현력이 보장됨
- 최근에 거의 모든 모델에 사용되고 있으며, FFN으로 MLP를 사용함
MLP의 한계
- 비선형 함수를 근사하지만, 해석력이 부족
- Transformer 에서 학습 파라미터는 대부분 MLP이기에, 너무 많은 파라미터를 요구함
- 고차원 함수를 근사할 때, 차원의 저주 문제가 발생할 수 있음
KAN 구조 제안
- (연산량 측면) 다변수 연속 함수를 단일 변수 함수들의 합으로 근사할 수 있음
- (해석력 측면) 노드 대신 엣지(Weight)에 학습 가능한 활성함수를 사용
- (효율성 측면) 각 Weight는 MLP에서는 Linear(선형 가중치)를 사용하였으나, 이것을 단변량 함수로 대체하며, 스플라인으로 학습 가능하게 만듬
- (차원의 저주) 단변량 함수로 대체한다는 것은, 고차원 문제를 저차원의 여러 문제들로 해결한다는 것임.
2. Method
Motivation
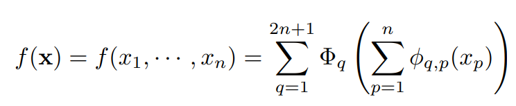
- Kolmogorov-Arnold 정리에 의해, 다변수 연속 함수 f(x)를 단일 변수 연속함수들과 덧셈의 유한한 조합으로 분해할 수 있음

- f(x) : n개의 입력변수를 가진 입력 벡터를 다변수 연속 함수에 통과
- Φ : 단일변수 함수
예제
입력변수가 2차원의 데이터(n=2) 라고 할 때, f(x1,x2) 는 5개(2n+1)의 Φ(단일변수 함수)의 합으로 표현되며, 각 Φ(단일변수 함수)는 두개의 단일변수 함수의 합을 인수로 가짐
Architecture

- MLP는 W로 선형변환을 수행하고, σ로 비선형성을 부여한다.

- KAN에서는 이러한 선형변환과 비선형성을 Φ에 통합한다.
- 구체적으로, 고정된 단변량함수(e.g silu)를 B-spline 곡선으로 변환함으로써, 비선형성을 부여하게 된다.


- Φ 는 활성함수 b(x) = silu 와 스플라인 함수의 합으로 구성됨
- 활성함수 b(x) = silu(x) 를 사용
- 스플라인 함수 spline(x) 는 여러 B-스플라인 기저 함수의 선형 결합으로 표현되며, 각 기저 함수는 특정 구간에서만 정의됨.
- Ws : 스플라인함수의 가중치 계수
- Wb : 활성함수의 가중치 계수
- Ci : 스플라인 기저 함수의 계수
Spline 기저 함수 vs Spline 함수
스플라인 기저 함수 : B(x)
- 각 구간에서 정의된 다항식 함수이며, 각 구간에서 미분가능함.
- B(x) 로 기록되며, C0B0(x), C1B1(x) 등으로 나타나짐.
- 즉, Ci는 각 구간에서 정의된 하나의 Spline 기저 함수의 계수 (학습 파라미터)
스플라인 함수
- 여러 스플라인 기저 함수의 선형 결합으로 이루어진 전체 함수.
- Ws(spline(x)) = Ws(C0B0(x) + C1B1(x)) 꼴
- 즉, Ws는 전체 구간에서 정의된 스플라인 함수에 붙는 가중치 계수
Training Process
- 학습 대상은 스플라인 기저 함수의 가중치(Ci), 활성함수의 가중치(Wb), 스플라인 함수의 가중치(Ws) 3가지.
- 손실 함수로는 mse사용

- 스플라인 차수(k), 격자 점(=경계점) 개수(G) 정의
- 스플라인 함수는 전체 구간에서 차수 k에 의해 재귀적으로 다항식으로 표현되며, 재귀적으로 생성된 각 다항식에 학습 가능한 파라미터 Ci를 곱하여 각 함수를 학습 가능하도록 설정함. e.g.) Ws(spline(x)) = Ws(C0B0(x) + C1B1(x)) 꼴
- 격자 점에 의해 전체 구간에서 격자 구간으로 구분(동일한 간격)되며, 경계점을 기준으로 스플라인 함수가 smooth하게 만들어주도록 학습함
- 학습을 진행하면서, 격자 점은 이동하면서 최적의 곡선을 그림.
5.. ws, wb, ci를 찾도록 학습
Apporximation Ability

- 다변량 함수 f는 [4,2,1] 총 3개의 KAN layer 로 근사할 수 있으나, 2Layer KAN으로는 activation function을 smooth하게 구성할 수 없음.

- KAN의 Approximation Boundary는 위 사진처럼 성립한다.
- Boundary를 보면, 입력 차원 N에 의존하지 않는다. 이는 곧 스플라인 함수를 잘 정의하면, 임의의 함수를 잘 근사할 수 있다는 의미이다.
Approximation Boundary
- 해당 수식은 근사 오차의 상한선이다 (Approximation Boundary)

- G^-k : 스플라인 함수의 차수 k가 높을수록, 각 구간에서 높은 차원의 다항식으로 근사할 수 있다. 따라서, k가 클수록 오차가 감소하여 해당 term이 추가된다.
- G^-1 : 격자 크기 G가 커질수록 구간의 길이는 작아지며, 더욱 세밀한 근사가 가능해진다. 따라서, G가 커질수록 오차가 감소하여 해당 term이 추가된다.
- G^m : m차 미분의 연속성을 유지하는 파라미터. 스플라인 함수의 매끄러움 요구 차수라고도 볼 수 있음. 스플라인 함수를 매끄러운 함수로 만들기 위하여 m차 미분까지 고려해야한다는 의미. 따라서, m이 클수록 매끄럽게 만들기 힘들다는 의미이며, 이는 곧 오차가 커진다는 것을 의미하여, 해당 term이 추가됨.
Scaling law
- KAN에서는 매개변수 N이 증가할 때, test loss l은 다음과 같은 규칙으로 감소함.

- 알파는 scaling factor
- KAN은 알파값이 커서 더 큰 모델 크기로 성능이 더 빠르게 향상됨
MLP vs. KAN
- MLP
- UAT에 기반하여 고차원 함수를 근사하지만, data가 sparse해지는 차원의 저주(COD) 문제가 발생할 수 있음
- 알파값이 낮아 모델 크기가 커질 때 성능 향상이 느림
- KAN
- COD 문제 극복, 효율적으로 고차원 함수 근사 가능
- 알파값이 커 모델 크기가 커질 때 성능 향상이 큼
3. Advancement
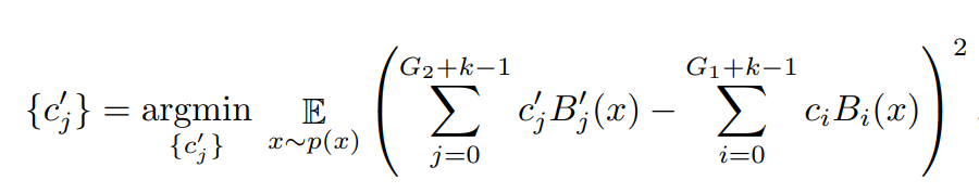
Grid Extension
- 스플라인 기저 함수의 정확도를 높이기 위해 격자 점의 개수를 증가시킴
- 격자 점의 개수를 추가하여 스플라인 기저 함수가 보다 세밀하게 데이터를 근사함
- 초기에 지정한 격자 점(G)에서 학습을 진행하면서 격자 점을 추가해나감
- 새로운 격자 점을 추가하고, 스플라인 기저 함수의 계수(Ci)를 Update
- 똑같이 RMSE를 Loss function으로 사용

Compressing
- 모델의 밀도를 낮춰 계산 효율성을 높이고, 해석력을 증가시킴
- 큰 KAN 모델 정의
- Regularization term 을 부여하여 모델을 학습
- 중요도 값이 특정 수치 이하인 노드와 엣지를 Pruning
- Pruning된 모델을 다시 원래 KAN 꼴로 복원
Regularization
- Define L1 Norm

- Define Entropy

- Loss function에 regularization term을 부여하여 학습

Pruning
- Regularization 이후, 모델을 학습한 뒤, 각 Φ 의 norm을 계산하여 이를 다음과 같은 incoming / outgoing score으로 중요도 측정
- 중요도가 특정 수치 이하라면, 제거
