HeapSort
-
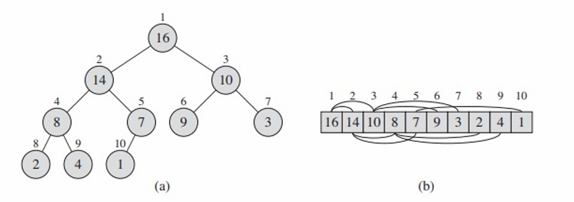
힙(Heap)은 자료 구조 관점에서 완전 이진 트리(Complete Binary Tree) 구조를 가진 특수한 트리 형태입니다.
-
힙 정렬은 최악의 경우에도 O(n log n)의 시간 복잡도를 가지며, 이는 매우 효율적인 정렬 방법 중 하나입니다.
-
힙 정렬은 추가 메모리를 필요로 하지 않는 제자리(in-place) 정렬 알고리즘입니다
-
힙 자료구조는 우선순위 큐 와 같은 구조에서 중요한 역할을 합니다.
-
힙은 일반적으로 다음 두 가지 종류로 분류됩니다: 최대 힙(Max-Heap)과 최소 힙(Min-Heap).
완전 이진 트리 (Complete Binary Tree)
- 완전 이진 트리는 트리의 모든 레벨이 가득 차 있거나 마지막 레벨이 왼쪽부터 순서대로 채워진 구조를 의미합니다.

Heap Data Structure
- 실제 힙은 배열을 통해 구현되며, 이를 통해 효율적인 메모리 사용이 가능합니다. 배열 인덱스를 이용해 부모와 자식노드간의 관계를 쉽게 관리할 수 있습니다.
- 루트 노드의 위치: A[1]
- 노드 i의 부모: A[⌊i2⌋]
- 왼쪽 자식의 위치: A[2i], 오른쪽 자식의 위치: A[2i+1]

Heap Data Structure 2
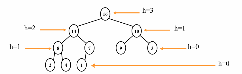
- The height of a node = 루트에서 해당 노드까지의 경로의 최대 길이
- The height of a tree = the height of its root
- The depth of a node = 루트에서 해당 노드까지의 경로 길이
- The height of an n-element heap : ⌊log2(n)⌋
- 이때, 힙 연산의 시간 복잡도는 힙의 높이에 비례합니다.

Heap Property(MAX)
-
힙은 모든 노드 i에 대해 A[parent(i)]≥A[i] 조건을 만족합니다.
-
즉, 모든 노드 i에 대해 부모 노드의 값이 자식 노드의 값보다 크거나 같아야 합니다.
-
사진처럼, 서브트리에서 가장 큰 요소는 항상 그 서브트리의 루트에 위치합니다
-
최대 힙은 우선순위 큐(Priority Queue)에서 높은 우선순위를 가지는 요소를 빠르게 꺼내기 위해 사용됩니다.


Heap Property(MIN)
최소힙은 최대힙과 정 반대라고 생각하면 됩니다.
- 힙은 모든 노드 i에 대해 A[parent(i)]≤A[i] 조건을 만족합니다.
- 즉, 모든 노드 i에 대해 부모 노드의 값이 자식 노드의 값보다 작거나 같아야 합니다.
- 서브트리에서 가장 작은 요소는 항상 그 서브트리의 루트에 위치합니다
- 최대 힙은 낮은 우선순위를 가지는 요소를 빠르게 꺼내기 위해 사용됩니다.
Heap Operations
- 최대힙에서 최대값, 즉, root를 추출하는 과정에 대해 알아보겠습니다.

- 최대값(16)을 A[1]에서 가져오고, 마지막 노드 A[10]을 루트 노드 위치로 이동시킵니다.
- 노드 수를 10에서 9로 줄이고, 루트 노드에서 힙 속성을 복원하기 위해 HEAPIFY(A,1,9) 과정을 수행합니다.
- Extract Max의 의사코드는 다음과 같습니다.
Extract Max(A,n)max←A[1]A[1]←A[n]n←n−1HEAPIFY(A,1,n)return max
- 최대값을 A[1]에서 가져오고, 마지막 노드 A[n]을 루트 노드 위치로 이동시킵니다.
- 노드 수 n을 1 줄이고, 루트 노드에서 힙 속성을 복원하기 위해 HEAPIFY 과정을 수행합니다.
- 이 과정의 시간 복잡도는 O(1) + 힙 속성 복원 시간입니다.
HEAPIFY
- HEAPIFY란 노드 i에서 시작하여, 자식 노드와 비교하면서 힙 속성을 유지하도록 값들을 조정하는 과정입니다.
- 왼쪽 자식 노드 left[i]와 오른쪽 자식 노드 right[i]가 이미 힙 속성을 만족하는 경우, 부모 노드 A[i]가 자식 노드들보다 작을 수 있습니다.
- A[i]의 값을 힙 속성을 만족하는 위치로 떠내려보내야 합니다. 이를 통해 i를 루트로 하는 서브트리가 힙 속성을 유지하도록 합니다.
- 아래의 그림을 통해 설명해보겠습니다.

- 2thnode를 보면 값이 4이지만 2thnode의 왼쪽자식의 값은 14로 max heap의 속성을 위배하는것을 확인할 수 있습니다.
이 경우 HEAPIFY를 수행하여 2thnode과 왼쪽자식과의 위치를 바꿉니다.
- 이후, 우측 상단의 그림처럼 4thnode 에 4의 값이 복사된것을 확인할 수 있습니다.
- 4thnode 를 root으로 하는 서브트리 또한 max heap의 성질을 만족하여야 하므로, 4thnode에 대해 HEAPIFY를 수행합니다.
- 그 결과 마지막 우측하단의 그림처럼, 4thnode와 9thnode의 값을 서로 바꿔 모든 노드 i 에 대해 heap의 속성을 만족하는것을 확인할 수 있습니다.
HEAPIFY_ Pesudo Code
- 다음은 재귀적 HEAPIFY의 의사코드입니다.
if 2i≤n and A[2i]>A[i] thenlargest←2ielse largest←iif 2i+1≤n and A[2i+1]>A[largest] thenlargest←2i+1if largest =i thenexchange A[i]↔A[largest]HEAPIFY(A,largest,n)else return
- 조건 1: 2i≤n (왼쪽 자식이 존재) 이고 A[2i]>A[i](왼쪽 자식이 부모보다 큼)일 경우, largest를 왼쪽 자식의 인덱스인 2i 로 설정합니다. 그렇지 않으면 largest를 i로 유지합니다.
- 조건 2: 2i+1≤n (오른쪽 자식이 존재) 및 A[2i+1]>A[largest] (오른쪽 자식이 현재 largest보다 큼)일 경우, largest를 오른쪽 자식의 인덱스인 2i+1로 설정합니다.
- 교환 및 재귀 호출: largest가 i와 다를 경우, A[i] 와 A[largest] 를 교환한 후, HEAPIFY를 largest 에서 재귀적으로 호출하여 힙 속성을 유지합니다.
Heapify 함수의 분석
- HEAPIFY(A,i,n)의 시간 복잡도를 분석해봅시다.
- h(i)를 노드 i 의 높이라고 하면, HEAPIFY 함수는 각각의 노드에서 최대 h(i) 번 재귀 호출될 수 있습니다.
- 각 노드에서는 두 노드를 교환하는 θ(1) 의 작업을 수행합니다.
- 따라서, 각 단계에서의 작업을 전체 높이에 적용하면
T(i)=O(h(i))가 됩니다.
- 힙은 거의 완전한 이진 트리이므로, h(i)는 O(logn)이므로 HEAPIFY의 시간 복잡도는 O(logn) 입니다.
HEAPIFY 함수의 시간 복잡도 분석
1. 재귀적 호출
- HEAPIFY 함수는 노드 i 에서 호출될 때, 노드 i의 자식 노드가 있는 서브트리 SL(i)와 SR(i)를 가지고 있습니다.
- 이 서브트리들은 각각 h(i)−1과 h(i)−2의 높이를 가지는 완전한 이진 트리입니다.
- HEAPIFY 함수가 호출될 때마다 최대 O(1)의 상수 시간이 걸리며, 이는 자식 노드들과의 비교 및 필요한 교환 작업을 포함합니다.

2. 노드의 수와 시간 복잡도
- SL(i)의 리프 노드 수는 ∣SL(i)∣=m+(m−1)=2m−1입니다.
- SR(i)의 리프 노드 수는 ∣SR(i)∣=m/2+(m/2−1)=m−1입니다.
- 전체 노드 수 n은 ∣SL(i)∣+∣SR(i)∣+1=n이며, 이를 통해 m=(n+1)/3을 얻을 수 있습니다.
- 따라서, T(n)≤T(2n/3)+Θ(1)이며, HEAPIFY의 시간 복잡도는 O(logn)입니다.
HEAPIFY_ iterations
- HEAPIFY를 재귀적으로 수행할 때는 각 재귀 호출 수준에서 스택을 사용하여 push/pop 작업이 발생합니다.
- 꼬리 재귀가 없는 경우, iterations을 이용한 구현이 더 효율적일 수 있습니다.
