Signed distance field는 다각형 모델(polygonal model)로 표현된 객체의 가장 가까운 거리를 격자 샘플링(grid sampling)으로 나타내는 것이다. 일반적으로, 객체 내부는 음수, 외부는 양수로 표현한다. 컴퓨터 그래픽스 분야에서는 매우 핫한 이슈로, 컴퓨터 그래픽스, 3D 모델링 및 관련 분야에서 널리 사용되고 있다. 예를 들면, 충돌 감지(collision detection), multi-body dynamics(다중 본체 동역학), 변형 가능한 물체(deformable objects), 메쉬 생성(mesh generation), motion planning(동작 계획), sculpting(조각)에 활용한다.
그러나, 견고하고 빠르게 SDF를 계산하다보면 성능 병목현상이나 입력 메쉬가 변질되어 작업의 한계가 올 수 있다. CPU에서보다 GPU를 활용하여 계산하는 것이 시간측면에서 효율적이다. GPU를 활용할 경우에는 distance mesing 또는 scan conversion 방법을 적용할 수 있다. 딥러닝 모델 등을 활용하면 이전보다 효과적으로 SDF를 생성하고 활용할 수 있다.
Jeong Joon Park, et al, DeepSDF: Learning Continuous Signed Distance Functions for Shape Representation, 2019.
DeepSDF는 latent code-conditioned feed-forward decoder networks 를 활용한다. SDF 잠재 코드로 조건화된 피드포워드 디코더 네트워크를 통해 표현한다. 이는 이미지가 학습된 형상 잠재 공간에서 두 형상 간의 보간을 DeepSDF로 광선 투영 렌더링할 수 있게 한다.

Whether the point is inside (negative) or outside (positive) of the watertight surface:

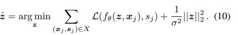
a set of pairs X composed of 3D point samples and their SDF values:

Approximator of the given SDF in the target domain :

loss function:

A function of a latent code and a query 3D location , and outputs the shape’s approximate SDF:

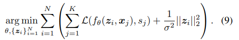
인코더(Encoder): 입력으로부터 latent space로의 매핑을 수행하는 인코더 네트워크가 입력 데이터(예: 3D 포인트 클라우드)를 저차원의 latent space로 압축하여 필요한 정보를 추출한다.
SDF 네트워크: Latent space의 표현을 입력으로 받아들여 각 점에서의 SDF 값을 예측한다. 예측된 SDF 값은 객체의 표면으로부터 해당 점까지의 거리와 방향을 나타낸다.
디코더(Decoder): 예측된 SDF 값을 사용하여 3D 공간의 점들의 SDF를 생성한다.

A set of K point samples and their signed distance values:

The posterior over shape code given the shape SDF samples :

SDF likelihood :

Joint log posterior:

Maximum-a-Posterior (MAP) estimation:


Reference
[1] Tony Chan, et al, Level Set Based Shape Prior Segmentation, 2005.
[2] Helen Oleynikova, et al, Signed Distance Fields: A Natural Representation for Both Mapping and Planning, 2016.
[3] https://developer.nvidia.com/gpugems/gpugems3/part-v-physics-simulation/chapter-34-signed-distance-fields-using-single-pass-gpu
[4] Jeong Joon Park, et al, DeepSDF: Learning Continuous Signed Distance Functions for Shape Representation, 2019.