
Graph Coloring의 주요 Application 중 하나는 Map Coloring
Planar Graph: Graph에서 Edge가 서로 만나는 것이 없을 때
모든 Map은 Planar Graph로 표현 가능
각각의 Region은 Vertex로 표현, 인접한 Region 간에 Edge 연결
m-Coloring은 Planar Graph를 그 대상으로 함
Adjacency Matrix로 Edge 표현 (Weight가 없으므로 True/False로 충분)

State Space Tree


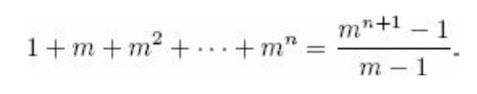
Graph의 한 Vertex를 출발하여 다른 모든 Vertex들을 한 번씩만 경유하여 원래의 Vertex로 돌아오는 문제
경로 중 하나만 찾으면 됨

Problem: Undirected Graph에서 Hamiltonian Circuit 구하기
Inputs: n(Vertex의 개수), Adjacency Matrix
Outputs: 임의의 Vertex에서 시작해서 모든 Vertex를 한 번만 경유하고 출발 Vertex로 오는 경로 vindex[0..n-1]
Promising 조건
경로 상의 i번째 Vertex는 i-1번째 Vertex와 인접해야 한다.
n-1번째 Vertex는 0번째 Vertex (출발 Vertex)와 인접해야 한다.
i번째 Vertex는 i-1번째 까지의 경로 상에 존재하면 안된다.
State Space Tree의 노드 수

Worst Case

