jmipar-k.log
로그인
jmipar-k.log
로그인
NoiseCLR: A Contrastive Learning Approach for Unsupervised Discovery of Interpretable Directions in Diffusion Models (CVPR 2024)
박정민 (Jungmin Park)
·
2025년 4월 30일
팔로우
0
논문 리뷰
목록 보기
20/21
Abstract
GAN 기반 생성 모델들은 latent에서의 disentangle 성능으로 높게 평가되고 있으며, 이것은 이미지 편집에 있어서 핵심 아이디어가 된다.
Diffusion도 최근 강력한 생성 능력을 보이고 있지만, latent 공간은 GAN만큼 이해되거나 연구되지 않았다.
최근 연구들은 text prompt에 의존하는 방식을 채택하고 있지만, 이러한 방식은 여러 분야에서는 제약이 될 수 있다.
본 논문에서는 text-prompt없이 비지도 방식으로 latent의 semantic들을 이해하는 방식을 제안한다.
인풋으로 작은 크기의 unlabeled image set(서로 같은 도메인)을 받고, 이에 대한 다양한 semantic을 비지도 방식(contrastive learning 목적 함수)으로 알아낸다.
이렇게 알게 된 direction들을 같은 혹은 다른 도메인의 이미지에도 적용하는 것이 가능하다.
Method
기존의 Diffusion들은 중간중간에 noise를 바꾸어 주면서 conditioning이 가능했다.
Contrastive Learning을 통해서 K개의 sematic direction을 배우는 것이 NoiseCLR의 우선적인 목표이다.
즉, 같은 방향의 편집들은 서로를 끌어당기고, 다른 방향의 편집들은 서로를 밀어내게 하는 것이다.
Direction들을 구했다면, 이를 이미지에 disentangle된 형태로 적용하는 것이 이미지 편집의 목표이다.
논문에서는 Classifier-Free Guidance 방식을 편집 방향
d
e
d_e
d
e
를 추가하여서 이것을 적용한다.
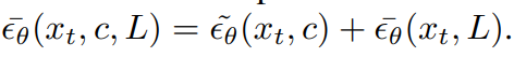
여기서 c는 기존의 이미지 생성을 conditioning할 때 사용된다.
ϵθ(xt, c) − ϵθ(xt, ϕ)는 condition c로 인해 인코딩된 semantic 정보를 인코딩하는 것으로 미루어 보았을 때, ϵθ(xt, de) − ϵθ(xt, ϕ) 식을 추가하여서 각 timestep에 노이즈를 전개하는 방식을 채택한다.
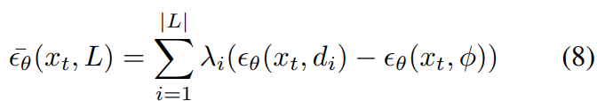
Multiple Direction으로 편집을 하기 위해서 위 식과 같이 사용한다.
timestep t에 대한 전반적인 노이즈 예측의 식은 위와 같다.
Experiments
scale parameter을 통해서 이렇게 강도 조절이 가능하다.
박정민 (Jungmin Park)
1999.09.10 / LIG Nex1 AI Researcher
팔로우
이전 포스트
LORA: Low-Rank Adaptation of Large Language Models (ICLR, 2022)
다음 포스트
Style Aligned Image Generation via Shared Attention (CVPR 2024)
0개의 댓글
댓글 작성