이전논문 Deep Residual Learning for Image Recognition
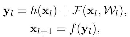
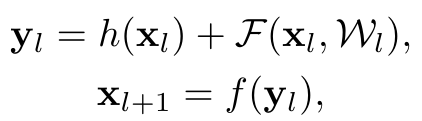
에서 사용된 residual block은 다음과 같이 수식으로 표현할 수 있다.

여기에서 Xl은 l번째 input이고 Xl+1은 l+1번째 input이다. F는 residual function이고 h(xl)=xl은 skip connection에서 identity mapping을 의미한다.
그리고 f는 relu 함수였다.
이전에 h(xl)=x인 identity mapping을 유지하는 skip connection에 대해서 F(x)를 학습하는 방법을 통해서 엄청나게 깊은 layer를 가진 모델은 만들 수 있었는데 이 논문에서는 전체 네트워크를 지나는 "information direct path"의 중요성에 대해서 다룬다.
만약 위 수식에서 f와 h가 identity mapping이라면 forward, backward 정보는 다른 레이어로 바로 전달될 수 있다. 이러한 direct connection이 학습을 어떻게 더 쉽게 만드는지를 다룬다.
또한 논문에서는 기존의 post-activation과는 다르게 pre-activation을 이용해서 direct path를 잘 활용할 수 있게 clean한 information이 전달될 수 있게 만든다.
기존의 residual network는 똑같은 residual block을 쌓아서 만드는데 블럭 하나하나를 residual unit이라고 하고 수식은 다음과 같다.

l번째 residual unit의 output이 l+1번째 residual unit의 input으로 들어가는 것을 의미하는 수식이다. F는 residual function을 의미한다.
만약 f가 identity mapping이라면 xl+1=yl이 되고 다음 수식을 만족한다.

이를 통해 재귀적으로 더하여 layer를 여러개 중첩한 것을 표현할 수 있는데 다음과 같다.

이는 l번째 유닛부터 진행이 되어서 L번째 유닛에 들어가는 input을 의미한다. 여기에서 2가지 사실을 알 수 있다.
또한 sigma로 표현한 위 식은 back propagation에서도 이점을 보인다.

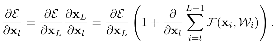
loss function 를 l번째 x로 미분을 하게 된다면 위와 같이 표현이 가능하고 여기에서 epsilon을 로 미분한 값은 loss function에서 어떤 layer든지 로 direct information propagation이 가능함을 의미하고 뒤의 연산 부분은 그 사이 여러 layer를 거치는 것을 의미한다.
그리고 부분은 보통 모든 minibatch에서 -1이 되지는 않기 때문에 gradient의 vanish문제도 해결할 수 있다.


여러가지 activation 구조를 테스트 하였는데 모든 구조는 다음과 같다.

결과는 다음과 같다.

BN after addition
이전과는 다르게 를 진행한 후에 BN을 진행한다. 더 안좋은 결과를 보였다. BN의 information propagation을 방해하기 때문이다.
실제 학습 결과를 보면 after BN이 loss가 적게 떨어진다.
ReLU before addition
덧셈 연산 전에 residual unit 단계에서 ReLU까지 마치고 나오는 모습 이렇게 된다면 f는 오로지 identity mapping만 남게 되고 information의 direct 전달이 가능해진다. 하지만 함수의 결과가 non-negative로 고정이 되기 때문에 main information path의 수정에 제한이 생기게 되어 main information은 계속 증가만 하기 때문에 representation 기능이 더 떨어져서 오히려 error이 더 증가하였다.
Post-activation or pre-activation?
이전에 식에서 는 이제 다음 residual unit의 양쪽 path 모두에 영향을 주었다. 그래서 asymmetric한 activation form을 개발해서 부분은 영향을 주지 않고 부분의 path만 영향을 주게 만들었다.
다음과 같다.
결국 다음 F의 input 부분만 를 적용하는 것이다.
이 구조는 마치 pre-activation을 적용하는 것과 비슷하다
그림으로 나타내면 다음과 같다.

(a)는 기존의 구조이고 (b)를 통해 F의 경로에만 를 적용할 수 있고 (c)는 (b)의 형태를 좀 더 block화 한 것이다.
또한 pre-activation에서도 ReLU only, full pre-activation 실험을 해보았는데 ReLU only에서는 ReLU layer가 BN과 연결되지 않아 BN의 이점을 얻지못해서 점수가 더 낮다.
결국 full pre-activation이 가장 유의미한 결과를 내면서 좋은 구조임을 보여주었다.

모든 실험 결과에서 향상된 결과를 보여줌
pre-activation의 2가지 이점이 있는데
1. optimization의 간단하게 만듦
2. BN을 pre-activation으로 넣으면 regularization을 추가해서 overfitting을 억제한 것과 비슷한 효과를 냄
1001 layer 모델의 학습 결과에서 보면 pre-activation 모델이 학습이 더 간단하다는 것을 알 수 있음

만약 f가 ReLU만 negative siganal이 영향을 받을 수 있고 많은 layer를 통과하면서 이 영향은 점점 쌓여서 커지게 된다.
또한 layer가 identity mapping이라면 propagation 과정에서 signal이 direct하게 전달이 가능해진다. 그래서 loss가 매우 빠르게 감소하는 모습을 보인다.
그런데 f=ReLU는 적인 layer에서는 영향이 크지 않다.

왜냐하면 training 과정에서 weight가 output을 양수로 가게 만들어서
ReLU 함수가 의미 없게 만들기 때문이다. 그러나 layer가 1001개 정도로 매우 많아지면 layer의 output이 음수로 가서 잘리는 경우가 많이 생기기 때문에 문제가 발생하는 것이다.
또 다른 이점으로는 overfitting이 억제되는 것이다.
바로 위의 이미지를 보면 164 layer 모델에서 pre-activation 모델은 training error이 normal model보다 더 높지만 test-error은 더 낮다.
이는 BN의 regularization 효과로 볼 수 있다.
original 모델은 BN이 적용되긴 하지만 shortcut과 합쳐지면서 BN의 효과가 사라지기 때문이다.
결국 unnormalized된 signal이 다음 layer에 들어가게 되고 BN의 효과를 볼 수 없게 된다.
그러나 pre-active가 된다면 모든 layer는 BN의 효과를 볼 수 있다.
단지 preactive만 추가를 하였을 뿐인데 유의미한 성능 향상을 볼 수 있었다.
또한 더 깊은 model을 만들 수 있는 중요한 개념을 얻을 수 있었다.
논문 구현에서 first-layer과 last-layer에 신경을 썼는데 first-layer(single conv layer)와 last-layer(before avg pooling) 다음 extra activation을 추가해주었다.
32x32 cifar10 data를 학습하기 위해 만든 모델.
기존의 구현과는 조금 다르다.
class PreActResBlock(nn.Module):
def __init__(self, in_channel, out_channel, is_downsample=False):
super().__init__()
stride = 2 if is_downsample else 1
self.seq = nn.Sequential(
nn.BatchNorm2d(in_channel),
nn.ReLU(),
nn.Conv2d(in_channel, out_channel, kernel_size=3,
stride=stride, padding=1, bias=False,),
nn.BatchNorm2d(out_channel),
nn.ReLU(),
nn.Conv2d(out_channel, out_channel, kernel_size=3,
stride=1, padding=1, bias=False,),
)
if is_downsample:
self.downsample = self._identitymap
else:
self.downsample = nn.Identity()
def forward(self, x):
return self.seq(x) + self.downsample(x)
# identity map을 downsample하는 함수
def _identitymap(self, x):
x = x[:, :, ::2, ::2]
y = torch.zeros_like(x)
return torch.concat((x, y), dim=1)
class PreActResNet(nn.Sequential):
def __init__(self, class_num=10):
super().__init__(
nn.Conv2d(3, 64, kernel_size=3, stride=1, padding=1, bias=False),
nn.ReLU(),
PreActResBlock(64, 64),
PreActResBlock(64, 64),
PreActResBlock(64, 128, is_downsample=True),
PreActResBlock(128, 128),
PreActResBlock(128, 256, is_downsample=True),
PreActResBlock(256, 256),
PreActResBlock(256, 512, is_downsample=True),
PreActResBlock(512, 512),
nn.ReLU(),
nn.AvgPool2d(4),
nn.Flatten(),
nn.Linear(512, class_num),
)
실제 preact를 적용할 시 논문에서 언급한 내용과 같이 초반에는 preact가 좋은 결과를 보여주지 않지만 후반으로 가면 좋은 결과를 보여주었다.

반면에 loss는 preact가 더 높은 것으로 보였다. 이는 논문에서 언급한 BN에 따른 regularization의 영향으로 보인다.
