Grover Search 알고리즘은 정답을 확인하는 것은 쉬운데 가능한 경우의 수가 너무 많은 경우를 위한 알고리즘입니다. f(x)는 가능한 x를 넣으면 답이면 1을 답이 아니면 0 을 주는 함수입니다. 이 함수를 가지고 답을 찾고 싶습니다.
예를 들어 10000000가지 중에 1개가 정답이라고 해봅시다.
기존 컴퓨터는 이걸 일일이 해봐야 합니다.
Grover search는 이런 문제를 안에 해결합니다.
정답을 이라고 하겠습니다.

회로는 별거 없습니다. 기존과 똑같이 n 비트의 superpostion을 만들고
와 Uf에 넣으면 저렇게 됩니다.
Uf를 넣으면 저렇게 되는 건 다음 공식을 이용한겁니다.
여기까지는 기존과 똑같습니다.
여기서 이제 새로운 유니터리를 적용하는데요
다음과 같이 이라는 유니터리를 적용하게 됩니다.
은 별거 없고 다음과 같습니다.

여기서 중요한건 이 벡터에서 어떻게 생겼는가 입니다. 정의에 대해 생각해보면 저 애는 모든 가능한 n bit 상태를 다 균일하게 포함하고 있는 상태이기 때문에 생각보다 간단히 저렇게 모두가 인 벡터가 됩니다 .
이제 원래 상태에 을 적용하고 싶은데요.
원래 상태를 좀 더 살펴보면 가 부호를 결정하는데 중요한건 는 정답에서만 1입니다. 그래서 정답인 부분만 마이너스가 되어버립니다. 마지막 마이너스 상태는 앞으로 아무일도 안하기 때문에 무시해도됩니다. 
그래서 얘도 벡터 상태로 생각해보면 이렇게 표현할 수 있습니다.
과 완전히 동일하지만 정답부분만 마이너스 입니다.

그리고 이게 우리의 상태에 을 적용한 결과입니다.
수식을 보기 전에 그림으로 이해하면 더 쉽습니다.
이 식을 하나하나 그림으로 뜯어봅시다.

일단 이 그림은 쉽게 이해할 겁니다. 는 모두 균일한 높이고 는 거기서 정답만 마이너스로 뒤집힌 상태입니다. 
그리고 알파값에 대해서는 이렇게 생각할 수 있습니다. 의 높이들의 평균으로요. 그럼 마이너스가 섞여있기 때문에 원래 높이보다는 조금 더 작은 값이 알파일 것입니다.

그림으로 보면 이 수식에서 여기까지는 이 그림과 같을 것입니다. 
이제 여기서 수식의 나머지인 를 해주면 이렇게 마이너스인 부분은 플러스로 되어서 정답인 부분은 오히려 길이가 늘어나고 다른 곳은 그대로 마이너스가 되어서 짧아질 것 입니다.
이렇게 정답인 부분의 확률이 확 늘어나게 됩니다. !
그리고 만약 이 과정을 몇번 반복하면 어떻게 될까요??
아마 계속 정답인 부분이 늘어나고 다른 부분은 계속 짧아져 측정을 하면 거의 정답만 측정이 될 겁니다.
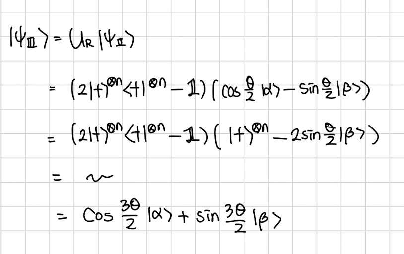
수식으로 보자면 


과정은 생략하고
가 \cos\left(\frac{3\theta}{2}\right) \lvert \alpha \rangle + \sin\left(\frac{3\theta}{2}\right) \lvert \beta \rangle$$
이렇게 변합니다.
이 뜻을 삼각함수로 보자면 각도를 점점 늘려서 사인 값을 늘리는 거라고 생각할 수 있습니다. 
그런데 여기서 알 수 있는게 그럼 너무 과도하게 반복해서 각도를 너무 늘리면 어떻게 될까요,,? 아마 다시 사인값은 줄어들것입니다. 
그럼 과연 몇번을 해야 될까요? 아마 sin 안에 각도가 가 되도록 하면 될겁니다. 그럼 정답이 측정될 확률이 1에 가까워질거에요. 
k번 반복할 때 각도는 이처럼 되고 이게 와 같다고 하고 수식을 풀면 
대충 K는 만큼 반복하면 됩니다.