(trivial solution) : 자명한 해
!trivial solution -> nontrivial solution (0말고도 해가 더 있는 경우)
: if and only if the equation has at least one free variable일때 존재
-> 자유 변수가 있을때 존재
ex1) Determine whether there is a nontrivial solution

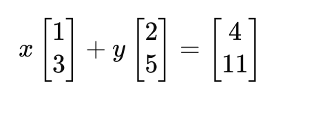
연립 일차방정식 = 벡터끼리의 합
x+2y=4
3x+5y=11
이 연립방정식을
이런식으로 표현하는 것이 선형 결합(linear combination)
즉, 해를 구하는것은 ->
벡터를 잘 조합해서 목표 위치(우변 벡터)를 맞추는 것
행렬
행렬 A × 벡터 x = 벡터 b
- 행렬 = 여러 개의 벡터 묶음
- 벡터 x = 각각 몇 배 할지 정하는 숫자
즉, 행렬은 벡터들을 한꺼번에 처리하는 도구로 이 예제에서 이해할 수 있다.

조건:
선형 시스템 𝐴𝑥=𝑏 가 consistent (즉, 해가 최소한 하나 이상 존재)하다고 가정하자.
그리고 그 해 중 하나를 𝑝 라고 하자.
결론:
이 방정식의 전체 해집합은 다음과 같이 표현된다:
w=p+𝑣ℎ
여기서 𝑣ℎ는 동차(homogeneous) 방정식 𝐴𝑥=0 의 임의의 해이다.
| 구분 | Homogeneous Equation | Nonhomogeneous Equation |
|---|---|---|
| 형태 | , | |
| 의미 | "오직 0벡터"가 항상 해인 구조 | 상수 벡터 에 의해 결과가 0이 아님 |
| 해의 존재 | 항상 최소한 (자명해) 존재 | 해가 존재할 수도 있고 없을 수도 있음 (조건 필요) |
| 해의 집합 | 벡터공간 (서브스페이스) | 벡터공간이 아님. 한 점을 중심으로 하는 평면(아핀 공간) |

비동차 방정식 Ax = b는 어떤 특정한 해 p -> 
을 가질 수 있다.
이때 전체 해집합은 다음과 같이 표현된다:
x=p+𝑣ℎ
여기서, 𝑣ℎ는 Ax = 0의 해이다.

비동차 해 집합 = 동차 해 집합 + 특정한 한 해

