전기 쌍극자
서로 다른 두 개의 전하만 존재하는 경우이다.
전기 쌍극자의 개념은 유전체 매질에서 전기장을 이해하는데 중요한 수단이 된다. 따라서 전기 쌍극자에 의한 전기장과 전위 등을 이해하고 넘어간다.
각 전하에 의한 전기장의 세기를 중첩시켜 결과를 얻을 수 있지만, 전위 개념을 사용하여 조금 더 쉽게 전기장 세기를 구해보도록 하겠다.
무한 거리 지점을 기준으로 점전하에 의한 전위 분포로부터
V=4πϵ0Rq
쌍극자에 의해 발생하는 개별 전위값의 합은 다음과 같다.
전하 분포에 의한 전위
균일한 전기장에 전기쌍극자가 놓이는 경우를 생각해보자.
전기장이 전기 쌍극자에 작용하는 전기력 F=0이다.
하지만, 균일한 전기장은 전기 쌍극자에 토크를 작용한다.
τ=q(r2−r1)×E=p×E
조금 더 일반적인 경우를 살펴보자
Multipole expansion scalar potential
주어진 식은 단일 전하뿐만 아니라 연속적인 전하 분포에 대해서도 적용 가능
이 식을 다양한 방법으로 근사하여 다중극 전개를 얻을 수 있다.
다중극 전개는 멀리 떨어진 관측점에서 전위를 효율적으로 계산하는 데 유용함.
- 조건 1: 전하분포 ρ(r′)가 유한한 영역에 분포됨
- 조건 2: 전하분포 ρ(r′)로부터 아주 먼 곳의 Potential을 구한다.
Taylor Series Expansion
대입하면 스칼라 포텐셜은 다음과 같다.
V(r)=4πϵ01∫Vdv′ρ(r′)(r1+r3r⋅r′+......)
r′에 대해 적분이다.
V(r)=4πϵ01(rq+r3r⋅p+......)
여기서 첫 항rq은 단극자 모멘트에 해당함.
q=∫Vdv′ρ(r′) 이다.
전하 분포가 유한하면, 다 더한 전하분포가 멀리서 보면 점전하처럼 보인다는 것이다.
두번째 항은 쌍극자 모멘트로 정의된다.
p=∫Vdv′ρ(r′)r′
전하 밀도에다가 r'을 곱해서 다 더한 것.
p=i∑qiri
이렇게도 나타낼 수 있다.

쌍극자 모멘트는 좌표계에 따라 달라지는 값이다.
이는 좌표계와 불변인 것과는 다르다.
쌍극자의 경우 첫 번째 항이 0인 경우이다.
첫 번째 항의 전하 q가 +q, -q로 상쇄되면 2차항이 남게 된다.
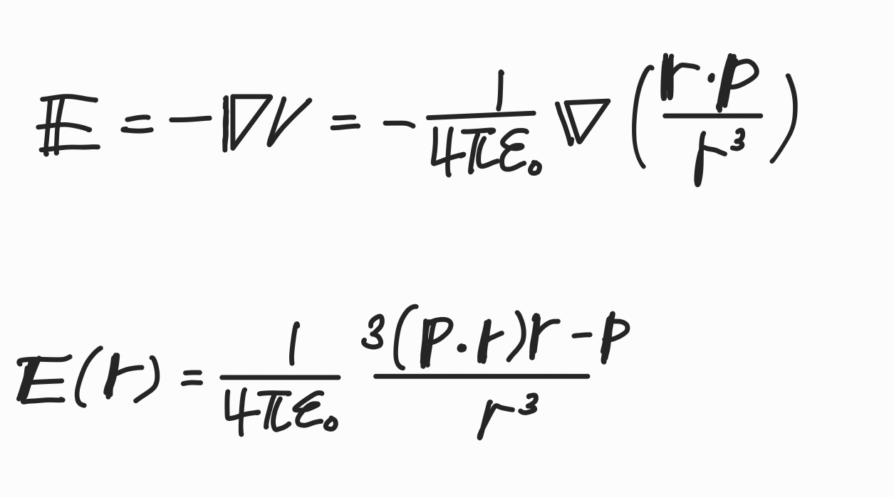
쌍극자 모멘트가 p일 때 원점에 놓인 전기 쌍극자의 스칼라 퍼텐셜은 다음과 같다.
V(r)=4πϵ01r3r⋅p
이것으로 E를 구할 수 있다.