
본 시리즈는 넥슨 인텔리전스랩스 테크블로그에 올라오는 DATA, 머신러닝 분야의 포스팅된 글을 정리 및 실습해보려고 만든 시리즈입니다! 일주일에 하나씩 목표로 진행해 보려고합니다! (항상, 양질의 글을 올려주시는 넥슨 인텔리전스랩스 직원분들 감사합니다🙂.)
테크블로그 챌린지 두번째 주제는 바로 LTV, BG/NBD, Gamma-Gamma 모델 입니다.
오늘의 목표는 아래와 같습니다!
LTV가 무엇인지 어떤 관점으로 봐야하는지, 왜 중요한지 느껴보도록 하겠습니다!
고객 생애 가치를 의미합니다. CLV(Customer Life time Value) 라고도 불리는데요.
한마디로 "어떤 소비자가 그 일생 동안 얼마만큼의 이익을 가져다주는가" 를 돈으로 계산한 것입니다. LTV의 의미를 이해하는데 가장 좋았던 글이 있었는데요.
해당 블로그를 많이 참고하였습니다.
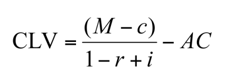
자세한 설명을 하기 전! 고객 생애 가치(CLV)의 기본계산 공식은 다음과 같습니다.

(✔️ 어떤 관점에서 평가하느냐에 따라 CLV를 추정하는 식이 다르고. 추정하는 방법이 다양합니다. ncsoft 에서는 등비수열, RFM을 활용한 예측모델, sBG 모델링 등을 이용하였고, 넥슨 에서는 앞서 말한 BG/NBD + Gamma-Gamma 을 이용하여 CLV의 값을 예측하였습니다.)
흠.. 일단 식으로만 봤을 때는 마음으로 와닿지 않습니다.
그래서 저 또한 소비자 입장에서, 그리고 내 일상에서 LTV를 어떻게 이해할 수 있을까? 생각해 보았는데요. 위 CLV 계산 공식을 일상생활을 통해 한번 이해해봅시다!ㅎㅎ
2023년 8월 23일 밤 22시
오늘 따라 치킨이 끌립니다...
배달의 민족 어플을 켰습니다.🤤
어디서 먹지 고민하던 중.. (광고)가장 상위에 뜨는 매장이 있네요?
개업한지 별로 안된거 같습니다. 들어가보니 리뷰 이벤트, 2000원 할인 쿠폰, 이벤트를 많이 하고있습니다.
리뷰 또한 굉장히 긍정적입니다. 마늘간장이 맛있다고 하네요. 끌립니다.. (사실 어제먹었습니다.. ㅋㅋ)
결국, 사이드메뉴까지해서 총 30,000원을 주문시켜 맛잇게 먹었습니다😁
여기서 매장의 입장에서 저를 주문까지 시키는데 매장이 사용한 방법은
상위노출광고 ,리뷰 이벤트, 쿠폰 입니다.
위 광고, 이벤트, 쿠폰 금액이 총 "5,000원" 이라고 가정 한다면 ,
이 "5,000원"을 "고객 획득 비용"이라고 합니다. (실제로는 더 많이 들 수 있습니다.)
저는 30,000원을 지불 했지만, 실제로 치킨집이 받는 금액, 마진율(배달 수수료 이것저것 계산했다고 가정)이 30% 이라고 합시다.
그렇다면 실제로 받는 금액은 9000원이며 고객 획득 비용까지 빼면 총 4000원 입니다.
그리고 저는 해당 매장에서 1년 동안 총 10번 시켜먹었습니다.
2023년 치킨집이 저를 통해 얻은 수익은 40,000원 입니다.
(고객획득비용 또한 매달 달라질 수 있습니다. 예시에서는 5000원으로 고정)
2023년 나를 통해 얻은 치킨집의 수익
[(30,000 x 0.3) - 5000] x 10 = 40,000
그렇게 내년에도 .. 내후년에도 1년 기준으로 나로 인해 치킨집이 얻은 수익을 합친 금액인 90,000원이 바로 해당 치킨집에서 저의 '생애 가치(Lifetime Value)' 입니다.
2024년 : 30,000
2025년 : 20,000
....
40,000 + 30,000 + 20,000 = 90,000원
( ✔️ 정확하게는 할인율, 이자율을 적용해야 합니다.)
다시 CLV의 기본식으로 되돌아가 봅시다!

CLV 식에서도 볼 수 있듯이, 결국 CLV 값이 크게 되려면
✔️ 식으로만 봐도 알 수 있지만! 저 3가지 조건 중에서 가장 중요하게 보는 것은 고객 유지비율 입니다! 왜그럴까요?
상황이 아래와 같다고 해봅시다.
M = 10,000 #(1인당)평균매출
c = 3,000 #(1인당)평균비용
i = 0.1 #할인율
AC = 5,000 #고객획득비용
아래의 그래프와 함께 보시죠
고객 1인당 수익이 증가하면 CLV 값이 증가합니다. M-c의 기준으로 봤을 때
1인당 수익이 3,000원일때 CLV 값이 2,500원 이었다면 그 두배인 6,000원인 경우 10,000원이 됩니다.
✔️ M-c, 1인당 수익이 두배 차이나는 경우 CLV 값은 7500원 증가합니다.

마찬가지로 고객 유지비율이 높아질 수록 CLV값이 올라갑니다. 유지비율이 0.4 일때 CLV 값은 5,000원 이지만 0.8의 경우 18,300원이 됩니다.
✔️ 유지비율이 두배 증가했을시, 13,300원 증가합니다. M-c 1인당 수익으로 보았을 때보다 더 큰폭으로 상승 하는 것을 볼 수 있습니다.
반대로 떨어질 경우도 큰 폭으로 떨어지기 때문에 고객 유지비율이 특히 중요하다는 것입니다.

✔️ 당장의 큰매출을 높이기보다, 적절한 비용(AC)을 통한 마케팅을 이용하고, 1인 기여액(M-c) 과 고객을 어떻게 유지할지(r)에 집중하는게 CLV(=LTV) 의 관점이며
그중에서 r이 굉장히 중요하다! 라고 할 수 있습니다.
그렇다면 이런 LTV를 예측하기 위헤서 필요한 핵심은
" 몇번이나 구매를 하였고, 얼만큼 구매를 했는지, "
즉, 고객의 기대 구매 일수, 기대 구매 금액을 예측해야한다는 것이 핵심입니다.
이를 각각 BG/NBD, Gamma-Gamma 모델을 이용하여 산출 하는 것이구요!
오늘은 LTV를 이해하는데 초점으로 정리를 해봤습니다! 서론이 매우 길었습니다ㅎㅎ.. 해당 모델을 왜 쓰는지 알기전에 LTV가 왜 중요한지 느껴보고싶어서 정리를 해봤습니다.
다음시간에 본격적으로 BG/NBD, Gamma-Gamma를 이용하여 LTV를 어떻게 산출하는지 예제 데이터를 통해 정리 해보도록 하겠습니다 ㅎㅎ