Minhyeok의 Notion - 노션에서 옮기는 중
- 이미지 압축시 information loss 발생
- 품질 측정
- MSE (Mean Squared Error)
- 압축된 이미지 - 원본 이미지간의 차이 측정

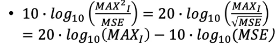
- PSNR (Peak Signal-to-Noise Ratio)
-
MSE기반 품질 측정 지표

-
높을수록 높은 품질
- Codec = coder + decoder
- Compression codecs
- lossy codecs
- lossless codecs
Basic compression methods
- Run-length coding: 연속적인 값은 값과, 숫자로 표현

- Golomb coding: 몫 + 나머지를 0,1로 표현
- Transform coding

- DCT (Discrete Cosine Transformation)
- sum of sinusoids of varying magnitudes and frequencies
(다양한 크기와 주파수의 합으로 이미지를 표현)
- 이미지의 중요도에 따라 분리
- Quantization
- DCT 변환 후 계수를 양자화 하여 데이터 크기 줄임 (정수로 근사화 하여 필요 비트 수 줄임)
- Quantized Value(i,j) = round(DCT(i,j)/QuantMatrix(i,j))
- high-frequency areas 대부분 0으로 축소되어, 시각적으로 중요하지 않은 데이터 제거
- Intra prediction
- 이미지 내부의 픽셀간 상관 관계를 활용하여 데이터 예측
- Inter prediction(motion compensation)
- 연속 프레임간의 변화를 분석하여 데이터 예측 (비디오 압축)