CV_8U: 8-bit unsigned integer: uchar ( 0~255 )CV_8S: 8-bit signed integer: schar ( -128~127 )CV_16U: 16-bit unsigned integer: ushort ( 0~65535 )CV_16S
Minhyeok의 Notion - 노션에서 옮기는 중output = L-1-input : 0, L-1output = c log (1+input) : 넓게 Mappingoutput = c input ^ 𝛾𝛾 < 1 : 검은 영역의 detail 증가 ⇒ 밝은 분위
Minhyeok의 Notion - 노션에서 옮기는 중1 channel 일 떄image_grey.at(50,100);BGRimage.at(50,100)i;

필터의 마스크가 클수록 blursecond derivative (2차 미분)input 이미지의 2차 미분 구하기input 이미지에 2차 미분 더하기unsharp masking원본 이미지에 blur 된 이미지 빼기특징: 각 픽셀을 주변 픽셀의 평균값으로 대체하는 필터로,

Minhyeok의 Notion - 노션에서 옮기는 중imwrite(~)VideoWriter video(~)video.write(frame);video.release;

component / - bins 이미지의 contrast 를 조절 equalizeHist(image, hist_equalized_image);특정 영역(어두운, 밝은 …) 의 데이터가 대부분일때는 이미지 향상이 어려움
이미지 자르기

Minhyeok의 Notion - 노션에서 옮기는 중Hue(색상): 무슨 색인가? (빨강, 초록, 파랑)Saturation(채도): 색의 순도Intensity(명도): 색의 밝기업로드중..Y: Brightness (R+G+B)/3Cb: Difference blue-YC

Minhyeok의 Notion - 노션에서 옮기는 중원래 회색조 이미지를 다양한 색상으로 변환해서 시각적으로 정보를 더 잘 전달 할 수 있게 하는 기술더많은 정보를 시각적으로 구현 가능Color scale 필요: 특정 색상이 어떤 정보 나타내는지applyColorMap
Minhyeok의 Notion - 노션에서 옮기는 중

Minhyeok의 Notion - 노션에서 옮기는 중Edge pixels: intensity 가 급격하게 변하는 곳의 pixelsEdges: sets of Edge pixels1D 일때: 1차 도함수의 크기 이용2D 일때: image gradient 이용아래의 수평필터

Minhyeok의 Notion - 노션에서 옮기는 중Global thresholdingBasic: 이미지를 두 그룹으로 나눈 후 평균값 계산, 반복 ⇒ thresholdOtsu’s method 1\. normalized histogram 계산 2\. 모든 t

Minhyeok의 Notion - 노션에서 옮기는 중Chroma-keying (크로마키: ex/ 초록색 배경 바꾸기)Surveillance camera (감시카메라)Scene 이 아닌 Object에 초점 Sudden or Gradual illumination 변화

Minhyeok의 Notion - 노션에서 옮기는 중oFast detector + r-BRIEF descriptorfast and illumination/rotation-invariant (빠르고, 조명/회전에 관계 없음)FAST(Feature from Accelera

Minhyeok의 Notion - 노션에서 옮기는 중Training객체/비객체 이미지 수집객체를 대표할 적합한 Feature 추출Classifier or Threshold를 통한 객체 분류Testinginput image에서 Feature 추출Trained Classi
Minhyeok의 Notion - 노션에서 옮기는 중load deep learning model: Net net = readNetFromDarnet();process an input image to a blob suitable for deep learning model

Minhyeok의 Notion - 노션에서 옮기는 중Similarity transformationoriginaltranslationscalingAffine trainsformationParallel lines are parallel after transformation

Minhyeok의 Notion - 노션에서 옮기는 중Scene element: 물체Illumination source (Energy): 빛Image systemFilter 로 통과된 Energy 를 센서를 이용하여 Voltage wave form 반환(Internal)

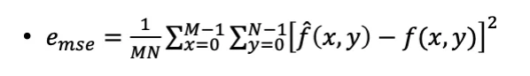
Minhyeok의 Notion - 노션에서 옮기는 중이미지 압축시 information loss 발생품질 측정MSE (Mean Squared Error)압축된 이미지 - 원본 이미지간의 차이 측정 PSNR (Peak Signal-to-Noise Ratio)MSE기