레드와인/화이트와인 두 종류의 데이터셋 존재
두개의 데이터를 합칠때 각각을 구분할 수 있는 부분이 필요함
Boxplot을 통해 와인 데이터 항목들을 그렸을 때, 컬럼들의 최대, 최소 범위가 각각 다르고 평균과 분산이 각각 다름
특성의 편향 문제는 최적 모델을 찾는데 방해가 됨

이런 문제가 발생할 때 MinMaxScaler/StandardScaler을 사용
MinMaxScaler, StandardScaler


Image에서는 MinMaxScaler가 유리한 경향을 가짐
이진 분류로 와인 맛 분류

-> 잘못된 정보를 넣어주면 정확도가 아무리 높아도 아무 소용 없음
Label Encoder
Min-Max Scaling

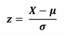
Standard Scaler

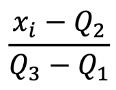
Robust Scaler

이 글은 제로베이스 강의 자료 일부를 발췌하여 작성되었습니다