Summury
MPM snow simulation에서 3,4번째 단계인 "Compute grid force & Update grid velocity"를 수행하기 위한 개념과, 코드 구현 방식 설명
개념
1. FˆEp(xˆ)
임의의 node index i에 대한 좌표상 위치 xi는 다음을 만족한다.
xˆi=xi+∆tvi
또한, xˆi에 대한 탄성 deformation gradient FˆEp는 [Sulsky et al. 1995]에 의해 다음을 만족한다.
FˆEp(xˆ)=(I+Σi(xˆi−xi)(∇wipn)T )FEpn
이때, 논문의 full method에서는 xˆi=xi라고 한 뒤, force를 계산하라 하였으므로, FˆEp(xˆ)=FEpn 이다.
( Eulerian grid node에서의 위치 xˆi인데, 이 grid는 움직이지 않으므로 위치의 변형이 일어난다고 생각하지 않는다, 따라서 xˆi=xi)
2. 탄성-소성 energy density 함수 Ψ(FE,FP)

∵ µ(FP)=µ0eξ(1−JP) , λ(FP)=λ0eξ(1−JP), JP=det(FP),JE=det(FE)
polar decomposition을 통해 FE=RESE로 분해가 가능하고, RE=UVT이다.
(U,V는 FE를 "polar SVD"한 것)
3. CauchyStress "σ"

여기서 FˆEp(xˆ)는 1번에서 언급한대로 이 논문에서 FˆEp(xˆ)=FEpn 이고,
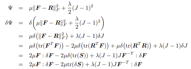
∂FE∂Ψ(FEp,FPpn)를 구하는 식은 다음과 같이 변형 가능하다.


※ tr : 행렬의 주대각 성분들의 합
이렇게 구한 tr(δS)을 위의 δΨ식에 넣으면 ∂FE∂Ψ를 구할 수 있음.


4. Force fi(xˆ) from elastic stress
탄성 응력으로 발생한 node index i에서의 force fi(xˆ)는 다음과 같다.
−fi(xˆ)=∂xi∂Φ(xˆ)=ΣpVp0∂FE∂Ψ(FˆEp(xˆ),FPpn)(FEpn)T∇wipn
이때, σp=Jpn1∂FE∂Ψ(FˆEp(xˆ),FPpn)(FEpn)T 이고, Vpn=JpnVp0이므로

따라서 3번에서 구한 CauchyStress "σ"식을 이용하여 Force fi(xˆ)를 구할 수 있음.
5. Update velocities on grid (v∗)
논문의 식에 의해서 update할 속도 v∗는 다음을 만족한다.

In code
이전 단계에서 각 paticle의 density, volume 초기값은 계산되어 저장되었고, 각 node의 mass, 힘이 적용되기 전의 velocity가 계산되어 저장되었다.
이 값들을 이용하여 grid의 force를 계산하고, 이 힘이 적용된 v∗값을 계산한다.
- computeGridForce()
- 각 particle의 bound 안에 있는 node의 force를 계산하는 함수.
- 위의 개념 4에서 설명한 것과 같이 각 particle의 부피 V와 CauchyStress σ를 한 값을, particle이 속한 node를 돌면서 가중치의 gradient를 곱해 node의 force에 더함.
- 추가적으로 중력가속도 9.8을 node의 질량과 곱하여 y축의 음수방향으로 곱하여 힘을 추가
- updateGridVelocity()
모든 node를 돌면서 해당 node의 속도 v를 개념 5의 식과 같이 더함.
여기서 ∆t는 미리 정한 constant 값.
추가할것
polar decomposition 개념
Lame perameter?