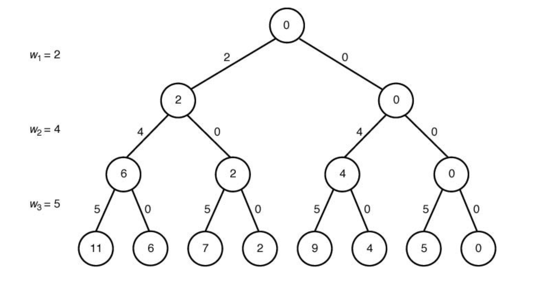
주어진 정수 집합과 목표 합계를 기반으로, 집합의 부분 집합 중에서 원소들의 합이 주어진 목표 값과 일치하는 경우를 찾는 문제
조건 - 가중치를 오름차순으로 정렬한 경우, 노드가 유망하지 않음을 판단
현재까지 선택한 가중치의 합 (weight)
weight : 현재 노드의 레벨 까지 포함된 가중치의 합.
상황 :
→ 현재까지의 가중치 합 에 다음 가중치 를 추가했을 때, 목표값 를 초과하면 유망하지 않은 노드로 간주
남은 모든 가중치의 총합 (total)
: 아직 선택되지 않은 남은 가중치들의 합.
상황 :
→ 현재까지의 가중치 합 와 남은 모든 가중치의 합 을 더해도 목표값 에 도달할 수 없다면, 유망하지 않은 노드로 간주
void sum_of_subsets (index i, int weight, int total) {
if (promising(i)) {
if (weight ==W)
cout << include[1] through include[i];
else {
include[i+1] = “yes”;
sum_of_subsets(i+1, weight+w[i+1], total-w[i+1]);
include[i+1] = “no”;
sum_of_subsets(i+1, weight, total-w[i+1]);
}
}
bool promising (index i) {
return (weight+total >= W)
&& (weight == W || weight+w[i+1] <= W);
}


시간복잡도 :