
오늘은 Mamba를 읽기 위해 거쳐야 할 논문인 Hippo를 읽어보려고 한다.

HiPPO 논문은 시계열 모델링을 어떻게 하면 효과적으로 할 수 있을지에 대해 소개하는 논문이다. HiPPO는 long-term sequence modeling 방법이다. LSTM, GRU등의 RNN과 비슷하지만 장기억을 저장하고 복원하는 성능이 더 뛰어나다. HiPPO는 다항식을 사용해 원본의 그래프를 효과적으로 압축하고 복원하는 방식을 사용하여 모델의 기억력을 높인다.

HiPPO 논문에서는 원본 함수를 나타낼 수 있는 orthogonal basis에 원본 함수를 Projection하여 원본함수를 근사하고 내적을 사용해서 orthogonal basis를 형성하는 벡터들의 조합으로 나타낸다. 그리고 이 조합의 계수에 대해 SSM(State Space Model)을 사용해서 다음 계수를 알아낸다.
논문의 내용만을 읽어서는 절대 이해할 수 없는 논문이다. appendix를 자세하게 읽어야 논문에서 말하는 방식을 이해할 수 있다.
47페이지 중 34페이지가 appendix이니 그럴만도 하다..
기존의 LSTM, GRU등의 시계열 방법은 모델에게 기억을 관장하는 회로를 추가하여 모델이 기억할 수 있도록 만들었다. 하지만 이 방식은 많이 알려진 vanishing gradient라는 문제가 있다. 기억함수를 0~1의 값에 매핑시키기 위해 tanh, sigmoid를 사용하기 때문에 치역이 0~1로 제한되어 모델의 output에서 멀어질수록 weight update가 잘 되지 않는 것이다.
모든 문제는 gradient descent에서 시작된다. 를 처음부터 끝까지 다 봐야 gradient를 얻을 수 있고 파라미터를 업데이트 할 수 있다. 만약 매 순간 최적의 해를 얻을 수 있다면 어떻게 될까?
기억을 더 효과적으로 할 수 있을 것이다. HiPPO는 1을 위해 clased-form solution을 선형대수를 사용하여 구할 수 있는 다항 함수 회귀를 사용했고, 2를 푸는 방법을 소개하는 내용이다.
HiPPO는 시간에 따른 의 중요도인 를 설정하면 그에 따른 최적의 다항함수 계수인 를 효율적으로 구하고, 의 시간에 따른 변화량을 이산적으로 표현할 수 있는 선형변환의 행렬 를 구하는 방법이다.
를 설정하는 방식은 여러개가 있다.
= , : 얼마나 오래되었는지는 상관없이 모든 부분을 중요하게 보는 것(HiPPO의 A행렬)
= , : GRU
기존 RNN 모델들이 HiPPO의 다른 버전임을 보여준다.
Online function approximation은 매 time step 마다 함수 의 부분을 기억하는 것을 목표로 한다. 그리고 정의역이 로 제한된 함수를 로 표현한다.
HiPPO는 를 고차 다항함수의 합으로 표현하고자 한다. 를N-1차 다항함수를 N개 를 미리 정의한 후, 이 함수들을 조합하여 를 근사한다. 그리고 이 선형 결합의 계수 를 구한다. 이를
.
와 같이 표현할 수 있다. 따라서 Hippo는 임의의 함수 를 고차 다항함수(High-order Polynomial)로 재표현(projection)하는 연산자(Operators)를 말한다.
장기 기억모델 HiPPO: 기존 RNN, GRU, LSTM등의 시계열 모델 연구의 핵심은 explicit한 기억과 망각이다. 기억과 망각회로를 직접 집어넣어 모델이 특정 부분을 얼마나 기억할지, 잊어버릴지를 결정하도록 한다. 한편 다항함수는 계수 N개만으로 함수 전체를 복원할 수 있다. 따라서 유한개의 스칼라로 거의 완벽한 암기를 할 수 있는 것이다. 기억을 관장하는 부분을 HiPPO로 바꿔 끼움으로서 시간거리가 먼 곳도 참조할 수 있게된다.
실시간문제를 빠르게 푸는 법 제시: K개의 점이 주어졌을 때, N차 다항회귀 방법의 시간복잡도는 이라고 한다. 역함수의 연산에 따라 달라지긴 하지만 는 매우 크다. 따라서 함수 차원 N은 많은 제약을 받는다. 하지만 HiPPO는 이전의 결과값을 재활용하여 빠르게 푸는 방법을 제시한다. 따라서 N에 대한 제약을 덜 받아 큰 값을 가져갈 수 있다.
HiPPO가 LSTM, GRU등의 generalization임을 수학적으로 보임: 특정한 다항함수의 집합을 활용하면 LSTM, GRU를 도출할 수 있다.
HiPPO의 특징 발굴: 2번을 포함하여 시간스케일에 영향을 받지 않음, RNN에 삽입되면 vanishing gradient 문제 해결가능
나는 처음에 수학적인 내용을 제외한 상태로 글을 읽었다. 그래서 처음에 읽을때 근본적인 이해가 되지 않았다. 그래서 HiPPO-LegS를 중심으로 수식에 대해 처음부터 정리했다.
나는 이 글에서 논문을 읽으면서 의문이 들었던 내용 위주로 지식을 공유하고자 한다.
HiPPO는 크게 3부분으로 나눌 수 있다.
$proj_t$, $coef_t$, discretize
시간에 따른 계수들의 변화를 SSM을 이용해 재활용하는 구조이다.
State Space Model(상태 공간 모델)은 동적 시스템을 수학적으로 나타내는 대표적인 방식입니다. 이를 통해 시스템의 상태, 입력, 출력 간의 관계를 선형 대수의 형태로 표현할 수 있습니다. 특히, 선형 시불변 시스템(LTI: Linear Time-Invariant System)을 수식적으로 나타내기 위해 널리 사용되며, 시스템의 동적인 성질을 정확하게 파악할 수 있습니다.
State Space Model은 두 가지 방정식(상태방정식/출력방정식)으로 표현됩니다:
상태 방정식(State Equation):

출력 방정식(Output Equation):

여기서:
💡여기서 잠깐!
State Space Model의 상태 방정식이 상미분방정식(ODE)의 형태로 표현되어있는 것을 확인할 수 있습니다. 이는 시스템의 상태 변화율을 의미하며, 이를 통해 시스템의 상태가 어떻게 시간에 따라 변하는지(동적인 성질)를 분석할 수 있습니다.
State Space Model(상태 공간 모델)은 시스템의 상태를 연속적인 시간에 따라 변화하는 방식으로 설명합니다. 하지만 실제로는 대부분의 컴퓨터나 디지털 제어 시스템은 연속적인 시간을 직접 처리할 수 없기 때문에, 이 모델을 이산화(Discretization) 과정으로 변환할 필요가 있습니다. 이산화는 연속적인 시간 축에서 발생하는 변화를 이산적인 시간 간격으로 나누어 분석하고 계산하는 과정입니다.
이산화 방법 중 가장 기본적이고 많이 사용되는 방법이 오일러 방법(Euler Method) 입니다. 오일러 방법은 연속적인 미분방정식의 변화를 작은 시간 간격 Δt로 나누어, 각 시간 구간에서의 상태 변화를 근사합니다.
근사하는 과정은 다음과 같습니다.

우리는 함수 의 가장 비슷한 다항함수의 projection인 를 구하고 싶다. 여기서 우리는 비슷한을 정의하기 위해 거리개념이 필요하다. 함수를 벡터의 연장으로 생각해서 RMSE를 거리로 두면 되지 않을까? 하는 생각이 드는데 어느정도 맞는 말이다.
에서 정의된 실함수 가 square integrable이라면 내적 = 는 힐베르트 공간을 형성할 수 있고, 의 norm은 = 와 같다.
💡 힐베르트 공간?
힐베르트 공간은 내적이 정의된 공간이다. 내적을 정의하면 이 공간안에 있는 원소간의 구조를 알 수 있다.
힐베르트 공간을 이루는 원소인 벡터는 크기가 유한해야 한다. 무한히 크면 안된다.
💡 실함수?
실수의 어떤 집합의 각 요소 속에, 각각 하나의 실수를 대응시키는 것과 같은 함수. 즉, 그 정의역도, 치역도 실수만으로 성립되어 있는 것과 같은 함수.
💡 왜 내적을 적분으로 표현했을까?
함수를 벡터에 대응시켜 내적을 정의하기 위해 -> 함수를 힐베르트 공간의 원소로 표현가능함.기본 아이디어
1. n차원 벡터를 만들기 위해 함수의 정의역을 n등분한다.
2. n번째 구간의 대표값을 n번째 원소로 하는 벡터를 생각한다.
3. 벡터를 내적한 값이 수렴하도록 각 항에 구간의 크기를 곱한다.
4. n값을 무한으로 보내면, 내적한 값을 적분 값으로 수렴한다.
여기서 square integrable은 적분 가 발산하지 않는다는 뜻이고, 힐베르트 공간은 함수들의 집합이 되는데 이 공간의 함수들은 내적값이 크면 비슷하게 생겼다는 것을 알 수 있다. ( 거리는 로 정의함 )
한편, 우리는 함수를 다항함수로 표현하고 싶다. 만약 다항함수들이 orthogonal basis를 형성한다면 예쁘게 표현이 가능하다.
차원 벡터 를 orthogonal basis 이 span하는 선형공간에 projection 시켜보자
.
이를 의 basis expansion이라고 한다. 기저가 orthogonal 하다는 것은 임의의 에 대해 라는 뜻이다.
따라서 계수 은 쉽게 구할 수 있다.
두 값을 내적하면 의 basis와 일치하는 성분의 계수만 에 포함되기 때문에 으로 형성된 힐베르트 공간상에 함수의 원형을 projection할 수 있는 것이다.
우리는 이제 내적이 잘 정의되었다면 N개의 orthogonal한 다항함수 기저로 함수를 정의할 수 있다는 사실을 알게되었다.
임의의 두 다항함수를 곱해서 적분했을 때 0이 나오는 다항함수 집합을 찾으면 된다. 조금 어렵지만 이미 정의된 유명한 orthogonal한 다항함수 기저들이 많다. 라게르, 르장드르 다항함수가 그 예이다. 정확히는 내적을 위와같이 정의하면 안 되고 적절한 weight function 를 같이 주어야 수직이 된다.
적절한 를 같이 줬다는 표현을 로 표현한다.

💡 measure를 맘대로 정의할 수 있을까?
안된다. 선택한 다항함수의 basis를 orthgonal하게 만들어 주는 weight를 선택해야함.
ex) 라게르의 경우 을 줘야 다항함수 basis가 orthogonal 하게된다.
르장드르의 경우 이다. 특별한 measure없이 orthogonal임.

HiPPO에서는 이렇게 정해진 를 시간에 따른 중요도로 해석했다. 라게르 weight function에서 으로 주면 가 된다. HiPPO에서는 이를 뒤집어서 로 만들었다.
x가 t에서 멀어질수록 weight값이 작아짐 -> 오래될수록 덜 중요함
우리는 를 다항함수 에 projection하고 있다.
(는 다항함수의 기저 가 span하는 공간의 한 원소임)
의 basis expansion의 계수 는 내적으로 쉽게 구할 수 있음.
.
구한 계수 를 재활용하기 위해 (= 시간 복잡도를 줄이기 위해) 계수들의 dynamics를 활용할 수 있다. Dynamics는 SSM을 구하면 쉽게 알 수 있다. SSM을 구하귀 위해 ODE를 closed-form으로 구해야 한다.의 정의로부터 closed-form ODE를 얻으려면 어떻게 해야할까? 우리가 구해야 하는 form은 다음과 같다.
.
💡 ODE?
구하려는 함수가 하나의 독립 변수만을 가지고 있는 미분 방정식이다.
Euler's method를 통해 다음 계수값을 구하는 것이 최종 목적임. -> 미분 방정식필요
함수간 내적은 적분으로 정의가 된다. 의 정의를 미분하면 좌변은 우리가 원하는 항이 되고 우변은 계산을 좀 더 하면 $cn(t), c{n-1}(t), ...으로 표현할 수 있다. 이 부분은 계산이 복잡해서 appendix에서 확인할 수 있다.

appendix 증명을 아래에서 자세하게 살펴보겠다.

는 의 결과를 하여 를 projection한 다항함수의 선형결합 의 계수를 구하는 함수이다. 의 결과는 projection 함수의 basis expension계수인 N개의 스칼라이다. 그리고 이 계수는 매 시간마다 바뀐다. 왜냐 시간이 달라질때마다 weight function의 값이 달라지기 때문이다.
이제부터 Appendix를 살펴볼 것이다.
Appendix C는 로 부터 를 얻는 과정을 general하게 설명하고, D는 scaled and shifted 르장드르 다항함수 기저와 measure를 대입해서 직접 계산한다. D에서는 LegS말고도 여러 basis-measure 세트에서 계산을 했지만 나는 LegS만 살펴봤다.
Appendix C는 문제 정의부터 시작한다. (에서 정의된 time vaying measure , 기저 함수의 수열이 만드는 공간 와 연속함수 가 주어졌을 때, HiPPO는 로부터 다음을 만족하는 의 optimal projection의 계수 을 얻는 연산자로 정의한다.
.
, andHiPPO라는 함수에 를 넣으면 가 나온다는 것을 알 수 있다.
우리는 이로부터 ODE 을 얻을 것이다.
시간에 따른 중요도인 measure 가 주어졌을 때 은 에 대해 orthogonal한 다항함수 기저로 정의한다.
논문에서는 라고 써놔서 처음에는 가 주어졌을때 이들이 orthogonal하게 된다고 받아들였다. 하지만 라게르, 르장드르 같은 기존에 있는 다항함수 basis를 먼저 선택하고 이들을 orthogonal하게 만드는 를 찾는 것이었다.
실시간 다항회귀에서는 실시간으로 정의역이 변한다. 시점 에서 임.
는 정의역 전체를 나타내기 때문에 도 같이 변한다. 이를 로 표기한다. 다항함수는 measure와 세트라 같이 변한다. (함수의 형태가 변하는 것은 아님 scaling and shifting 정도) 이를 으로 표기한다.
는 의 normalized 버전임. Norm이 1이 되도록 norm으로 나눠준 값임.
💡 왜 normalized?
계수와 basis인 을 내적하면 가 나와야 하기 때문임
normalized를 하지 않으면 적분값을 그대로 쓰기 때문에 가 나오지 않음.
여기에 tilting이라고 다항함수를 orthogonal로 만들어주기위한 장치가 하나 더 있는데 르장드르는 필요 없기 때문에 정의는 생략한다. 다만, 계속 등장하기 때문에 르장드르에서는 라고 생각해서 대입하면 된다.
그리고 가 주는 중요도 weight function이다.
input은 실시간(online)으로 주어지는 의 일부분 이다.
는 1번 이상 미분 가능한 함수이다.
output은 optimal한 projection의 계수이다. orthogonal basis 이 주어졌을 때,
.
이것이 의 정의이다. 이 개념을 확실히 기억해두고 가야 아래 증명과정이 덜 헷갈린다.
계수를 구했다면 함수를 복원할 수 있다.
.
이렇게 계수를 통해서 우리는 원본함수의 근사값을 복원할 수 있는 것이다.
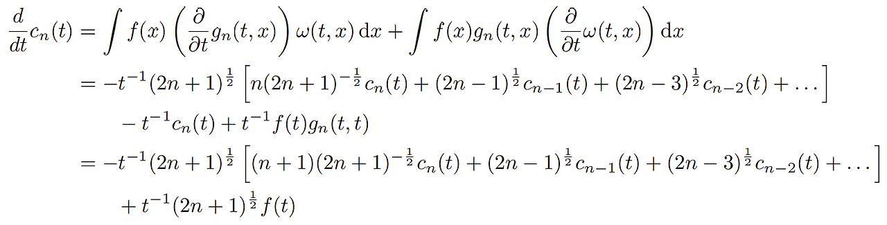
이 내적을 사용해서 ODE를 만들 것이다.
+ \int f(x)p_n(t, x)(\frac{\partial}{\partial t}\omega(t, x))dx
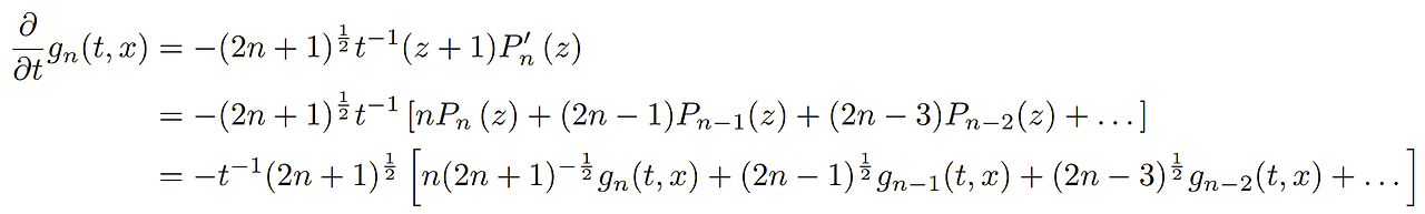
이 미분은 곱의 미분을 사용한 형태이다. t에 대한 미분에서 는 제외되기 때문임. 첫 번째 항부터 봐보자. 다항함수는 미분을 해도 다항함수이다. 그러면 basis로 다시 나타낼 수 있다. 따라서 의 선형결합으로 표현할 수 있다. 그러면 로 다시 표현할 수 있다.
두 번째 항은 가 미분했을때 이상한 form이 나오면 적분이 그대로 살아있을 것이기 떄문에 여기서 막힌다. 하지만 다항함수 basis로 르장드르를 사용할 경우 도 로 표현이 가능하다. 따라서 의 정의에 따라 다시 로 표현이 가능하다.
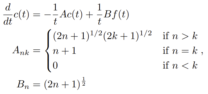
따라서 ODE가 완성될 수 있는 것이다. 이렇게 구한 ODE는 다음과 같이 표현할 수 있다.
.
이것이 바로 hippo 연산자의 실체이다. A앞의 -부호는 계산의ㅡ 편의를 위해 써놓았다.
로 부터 Euler's method를 사용해서 를 얻는다.
이제 거의 다왔다. D는 C에서 유도한 식에 각 다항함수의 basis와 measure를 대입니다. 이 글에서는 LegS만 살펴본다. 계산은 크게 4단계로 나눌 수 있다.

르장드르 다항함수 은 에서 정의된다. 에서 사용하려면 위와 같은 scaling을 거쳐야 한다. 는 의 norm이다. 는 rect function이다. (에서만 1이고 나머지는 전부 0이라는 뜻)

오른쪽 그림의 파란색과 보라색은 서로 다른 에 대한 이다.
가 이기 때문에 t가 클수록 작아지는 형태임.
위에서 두번째 항의 적분꼴을 없에려면 을 로, 은 로 표현하는 것이 핵심이라고 했다. (의 정의를 다시 보고 올것.)

첫번째 항부터 살펴보자.
우리는 와 rect function 모두 t에 대한 식이기 때문에 미분을 해줘야 한다. (곱의 미분을 해준다.)
💡 direc delta 함수 는 어디서 나왔을까?
rect function을 미분하면 direc delta함수가 나온다.
두번째 항을 보자.
이 식에서 구간은 로 만들기 위해 로 놓으면 다음과 같은 식이 나온다.

으로 재표현 되었다.
C.3에서 만든 식에 2.에서 미분한 식을 대입해보자

로 묶으면 선형결합이기 때문에 다음과 같은 행렬식으로 표현이 가능해진다.
이해하기 어려웠던 부분들
처음에 나는 어떻게 의 형태에서 로 넘어가는지 이해가 되지 않았다.
알고보니 위의 식의 를 같이 곱해서 를 에 대한 식으로 바꿔준 것이었다.
두번째 항에서는 가 특정조건에서 의 선형 결합형태로 나타날 수 있다.
그런데 르장드르 다항식에서는 그 조건을 충족하기 때문에 다음과 같이 표현이 가능한 것이었다.
행렬식에 대해 어떻게 로 묶일 수 있는가?
이 식을 적분에 대입하면 다음과 같은 식이 된다.
.
.
여기서 를 대입하면
.

그러면 다음과 같이 행렬식으로 표현이 된다.
이기 가 계속 등장할 HiPPO-LegS A이다. A앞의 -부호에 주의하자.

basis 과 을 선형조합하여 복원한다.

위 GBT 계산 식에 집어넣으면 된다. 미리 계산되어있다.
시점의 값과 기울기의 값을 비율을 조정하여 합하는 방식으로 다음 값을 구한다.
여기서 핵심은 HiPPO-LegS의 이산화는 가 없다는 점이다.
왜 없어졌을까?
기본형태이다.
GBT를 이용한 수식을 정리하면 다음과 같다.
여기서 수식을 다음의 값으로 치환해준다. ()
치환된 식을 다음과 같이 변형할 수 있다.
이후 수식에 대입해주면 t에 대한 값이 모두 상쇄된다.
( 을 만족 )
따라서 HiPPO는 time-scale에 invariant하다.
읽으면서 고민을 굉장히 많이 한 논문이다. 수식이 많고 복잡하기 때문에 읽으면서 수학적 지식의 필요성을 느꼈다.
다음 리뷰할 논문은 LSSL이 될 것 같다!