오늘 리뷰할 논문은 skipnet이다.
layer를 건너뛰어서 연산량을 줄이는 아니디어를 사용했다는 점이 마음에 들었다.
논문의 저자는 resnet의 아이디어를 차용해서 skipnet을 만들었다고 한다.
residual block 앞에 skip-gate를 두어 해당 블럭을 skip 할지말지 정하는 것이다.
그런데 논문을 읽으면서 궁금했던 점이 skip 할지말지에 대한 정보는 continuous한 값이 아니기 때문에 backpropagation을 어떻게 적용할까? 였다.

이 논문에서는 별도의 tensor값을 하나 두고 해당 값에 sigmoid를 사용해 확률값으로 변환을 시켰다고 한다. (이 확률값이 skip을 할 확률이다.)
는 i번째 layer의 초기값이다.
는 layer를 통과할지 정해주는 확률 값이다.
Training에는 GD를 사용하여 학습을 해야하기 때문에 soft-gating방식을 사용했다고 한다. (위의 방식이 soft-gaing방식)
그렇다면 정확도와 연산량을 모두 고려한 loss는 어떻게 만들 수 있을까?

는 네트워크의 layer들이다. (는 gating module을 포함함)
여기서 는 모델의 parameter를 의미한다.
g는 gate의 값으로 0 또는 1이 나올 수 있습니다.
전체 objective function은 다음과 같습니다.

L은 cross entropy loss고 는 i번째 layer의 연산량을 의미합니다.
만약 는 i번째 layer의 skip gate값을 의미합니다.
= 0 -> skip
= 1 -> excute
스킵한다 -> = 0 -> = 1
스킵하지 않는다 -> = 1 -> = 0
값(computation 이득에 따른 보상) 이 항상 1일 수 있는 이유는 각 block이 residual block앞에 skip-gate가 붙어있기 때문 ( 연산량이 동일하다. )
스킵을 한다면 = 1이기 때문에 cross entropy loss에서 값을 뺴주는 것을 볼 수 있습니다.
스킵한다면 보상을 주는거죠

결과적으로 () 를 최적화시킨다는 것은 정확도와 computation양을 고려한 모델을 만든다는 것을 의미하게 되는 것이죠
우리는 이 식을 최적화해야 합니다.
하지만 loss에 있는 는 이산값을 가지죠.
미분이 불가능한 이 식을 사용해서 어떻게 weight update를 할까요?
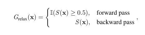
이 논문에서는 Training과 Test의 예측과정에 차이를 두는 방식을 사용합니다.

위의 사진이 모델의 구조입니다.
저자는 이 residual block안에 softmax를 넣고 softmax의 두번째 값을 skip할 확률 값으로 씁니다.

확률값은 미분이 가능하기 때문에 GD로 학습이 가능한거죠
그리고 Test환경에서는 조건문을 추가해서 skip-gate의 확률이 일정 threshold값(논문에서는 0.5)을 넘기면 이 layer를 skip하는 방법을 씁니다.
이상으로 포스팅 마치겠습니다.