Image Classification
- 컴퓨터 비전에서 대중적인 Task
- Architecture : Backbone (CNN) + Classification Head (FC Layer)
Input Image -> Backbone -> Fully Connected Layer -> Output
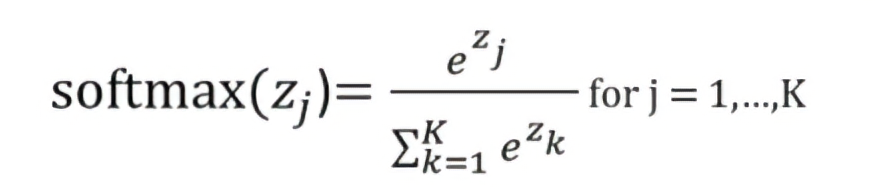
Logit & Softmax
Logits : 각 클래스에 대한 예측을 수치(실수값)로 나타내는 중간 단계

Softmax 함수는 실수 전체의 범위를 가지는 Logits을 지수 함수를 이용하여 클래스 간의 상대적 확률 0~1사이의 값으로 계산

Training Process
Training Data
Preprocessing
- Grayscale, Rotation, Noise, Blur
Model
- Batch Normalization : 입력데이터의 평균과 분산 계산
- DropOut : 뉴런 제외 확률 설정
- Softmax Classifier 의 목적 : 입력에 대한 클래스별 확률 분포 생성 및 모델을 학습시키는 데 사용
Loss Function
- 실제 Class와 예측한 Class의 차이를 줄이기 위해 사용
- Cross-Entropy Loss를 이용해 Loss Function 정의

TEST Process
- 학습시 사용한 전처리기법 그대로 적용하여 사용
Metric
-
Accuracy : 전체 비율에서 모델이 올바르게 맞춘 비율 (맞는걸 맞다, 틀린걸 틀렸다)
-
Precision : 모델이 True로 예측한 값 중 정확히 맞춘 비율
-
Recall : 실제 True인 값 중 모델이 True로 예측한 비율
-
F1 Score = Precision과 Recall의 조화평균