기존의 deepwalk와 같은 모델들은 heterogeneous network에 적합하지 않다. 따라서 본 논문에서는 metapath2vec이라는 모델을 제시하여 1. meta-path를 설정하고 2. skip-gram을 적용해서 node를 임베딩
type 다른 node들도 same latent space에 맵핑
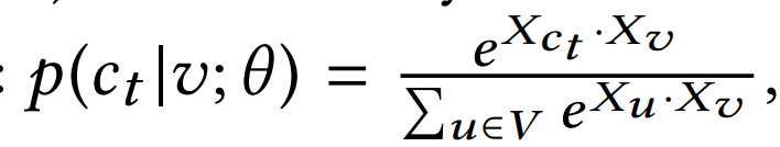
기존의 skip-gram과는 다르게 type에 맞춰서 확률을 최대화하는 objective function
type에 상관 없이 negative sampling도 같이
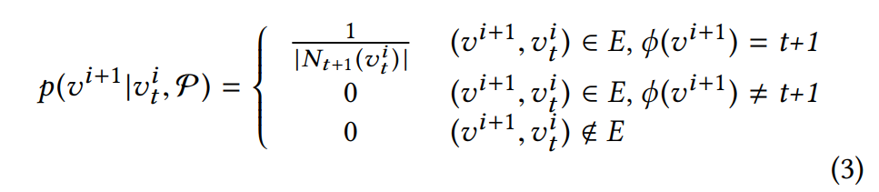
의외로 meta path를 만드는 방법은 매우 간단하다. 그냥 type다른 이웃 노드를 선정하는 것
그리고 path는 대칭구조

여기서는 모든 이웃 node에 대해서 최적화를 진행하지는 않고

같은 type에 대해서만 연산에 포함
근데 path를 이렇게 설정했으니 당연히 이렇게 하는게 맞는 것 아닌가......????