전통적인 추천 시스템은 사용자들의 행동을 iid(독립적이고 동일하게 분포되었다고) 가정해서, user간의 social interaction이나 connection을 무시한다. 하지만 사람의 social network는 Web에서의 personal 행동에 영향을 줄 것이다!
1) rating matrix의 sparsity
user간 공통으로 평가한 item이 있어야만 similar user를 찾을 수 있음
2) 현실에서는 친구나 속한 company에 의해 movie, music, book 등을 추천 받기도 함
실제로 추천 시스템이 추천한 item이 high novelty factor를 가지고 있어도 친구의 추천이 더 qualified되었다고 여겨지기도 함
따라서, social network structure와 user-item rating matrix를 고려한 추천 시스템을 고안함
기존의 model들은 user들을 independent and identically distributed되었다고 가정하지만 실제 세상에서는 그렇지 않음. 따라서 trust-based 모델에서는 user들의 reputation에 CF가 영향을 받음.
본 논문에서는 PMF를 기반으로 user social network와 user-item matrix를 동시에 적용해 user/item latent feature space를 학습시킨다!
social network graph도 matrix로 표현하고 UTZ, UTV로 matrix factorization을 하는데 이때 U를 공유함
3.2 Social Network Matrix Factorization

trust에 대한 사후 확률 분포

이미 C는 관측되었고, 그 상황에서 U, Z가 나올 확률이 최대가 되게 하는 U, Z를 찾으면 됨
cik는 user i가 user k를 trust하는 정도인데, 만약 user i가 다른 여러 user들을 trust한다면 감소하고, user k가 다른 user들에 의해 많이 trusted된다면 증가함
따라서 이를 보정하기 위해 다음과 같이 변형

3.3 User-Item Matrix Factorization

3.4 Matrix Factorization for Social Recommendation

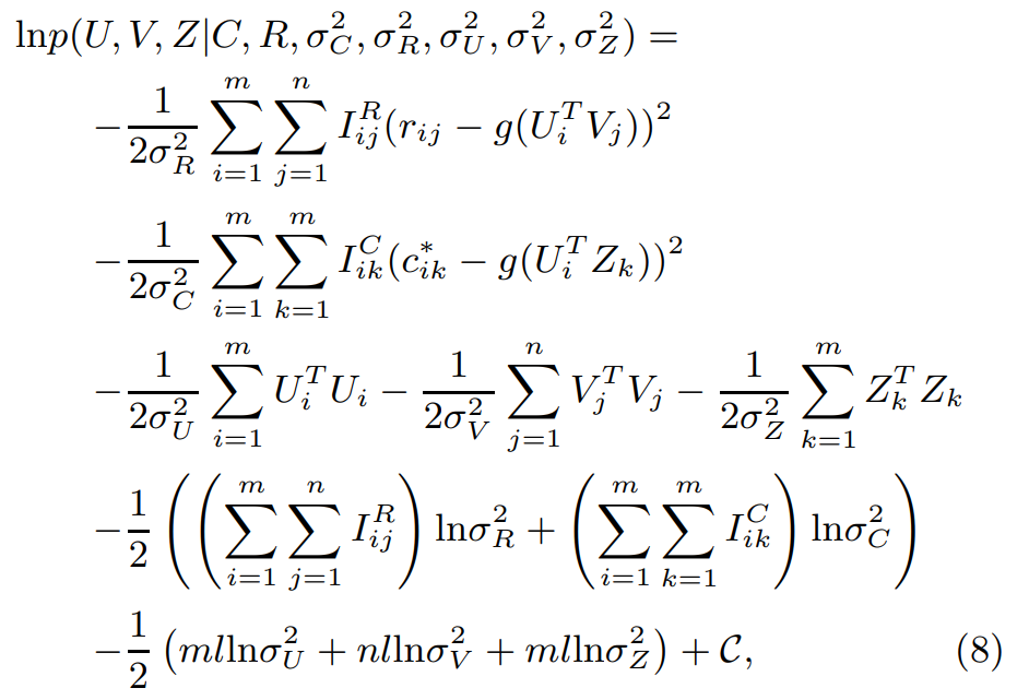
결과적으로 U를 공통으로 학습하고 두 식을 합치면 (8)과 같이 됨
4.4 Impact of Parameter lambdaC
lambdaC = 0일 때는 기존의 PMF와 동일하고 inf에 가까울수록 social network 에서만 정보를 추출한 것과 동일함
실험 결과 0이거나 inf일 때보다 그 사이 [10, 20]일 때가 성능이 제일 좋았고, 이는 fused model의 성능이 뛰어나다는 의미!
4.5 Performance on Different Users
user가 few rating만을 제공한 경우 해당 user의 별점을 예측하는 것이 어려운 문제였음. 이를 실험해보기 위해서 본 논문은 사용자를 각 user가 제공한 rating의 수로 분류하고 성능 평가
나머지 baseline에 비해 no rating record를 가진 user에 대한 성능이 매우 좋았음
4.6
흥미로운 점은 lambdaC =0.1일 때는 200에서 300epoch 후에 overfit하는 경향이 있는데 labmda를 10으로 하면 overfitting 문제가 안생김 (WHY??)