sieun.log
로그인
sieun.log
로그인
ML 05 Logistic Classification
Sieun
·
2024년 4월 4일
팔로우
0
0
모두를 위한 딥러닝 강좌 시즌 1
목록 보기
3/5
Classification
Spam Detectoin: Spam or Ham
Facebook feed: show or hide
Credit Card Fraudulent Transaction Detection: legitimate/fraud
*encoding 적용
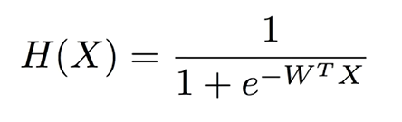
Logistic Hypothesis
logistic function == sigmoid function
Cost function
local minumum vs global minumum
Sieun
Studying AI/ML with a focus on Multimodal Learning 👩🏻💻
팔로우
이전 포스트
ML 04 multi-variable linear regression
다음 포스트
ML 06 Softmax Regression
0개의 댓글
댓글 작성