ML 04 multi-variable linear regression

Sieun·2024년 4월 2일
0

Hypothesis

H(x)=Wx+bH(x)=W*x+b
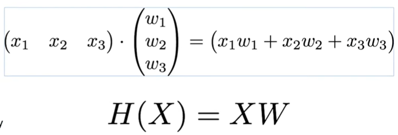
-> variable이 3개 이상인 경우는?
H(x)=w1x1+w2x2+w3x3+...+wnxn+bH(x)=w1x1+w2x2+w3x3+...+wnxn+b
-> H(x)=XWH(x)=XW

Cost Function

Hypothesis using matrix

profile
Studying AI/ML with a focus on Multimodal Learning 👩🏻‍💻

0개의 댓글