remove
stack
queue
tree
#include <algorithm>
범위 내에서 지우고 싶은 키는 뒤로 옮기고 남아있는 요소는 앞쪽으로 이동
(unique처럼 뒤로 옮겨진 키의 값은 undefined)
"새 끝" 위치의 iterator를 반환
unique와 비슷
그래서 보통 erase()와 함께 사용
#include <algorithm>
#include <string>
#include <iostream>
int main() {
std::string s = "1020304050";
auto new_end = std::remove(s.begin(), s.end(), '0'); // 0빼고 앞으로
s.erase(new_end, s.end()); // 실제로 '0' 문자 삭제
std::cout << s << std::endl; // 출력: 12345
}
| 함수 이름 | 동작 | 간단한 예시 | 시간 복잡도 |
|---|---|---|---|
| stack::top() | top 요소 접근 | 해당 없음 | O(1) |
| stack::empty() | 스택이 비어 있는지 확인 | 해당 없음 | O(1) |
| stack::size() | 스택 내 요소 개수 반환 | 해당 없음 | O(1) |
| stack::push() | top에 요소 삽입 | s.push(value); | O(1) |
| stack::pop() | top 요소 제거 | 해당 없음 | O(1) |
| stack::push_range() | top에 범위 내 요소 삽입 | s.push_range(first, last); (반복자 first와 last로 정의된 범위) | O(N) (N은 삽입되는 요소 수) |
#include <stack>
using namespace std;
int main() {
stack<int> s;
s.push(10);
s.push(20);
cout << "스택의 top: " << s.top() << endl; // 20
s.top() = 40; // top의 반환자는 참조자이므로 수정 가능
s.pop(); // 40 제거
}
| 함수 이름 | 동작 | 간단한 예시(인자가 있으면 설명) | 시간 복잡도 |
|---|---|---|---|
| queue::front() | front 참조자 반환 | 참조자므로 front요소 없으면 에러 | O(1) |
| queue::empty() | 비어 있는지 확인 | 해당 없음 | O(1) |
| queue::size() | 요소 개수 반환 | 해당 없음 | O(1) |
| queue::push() | rear에 요소 삽입 | q.push(value); | O(1) |
| queue::pop() | front 요소 제거 | 해당 없음 | O(1) |
| queue::push_range() | 범위 내 요소 삽입 | q.push_range(first, last); (반복자 first와 last로 정의된 범위) | O(N) |
#include <queue>
using namespace std;
int main() {
queue<int> q;
q.push(1); // 큐: [1]
q.push(2); // 큐: [1, 2]
q.push(3); // 큐: [1, 2, 3]
cout << q.front() << endl; // 1
cout << q.back() << endl; // 3
cout << q.size() << endl; // 3
q.pop(); // 1 제거 → 큐: [2, 3]
q.front() = 99; // [99, 2]
if (!q.empty()) {
cout << "Queue is not empty." << endl;
}
tree구조는 STL이 없음
다만, set / map 등이 레드블랙트리(이진탐색트리)의 형태를 차용하여 사용
따라서, tree를 사용하려면 직접 구현해야함
out degree의 최댓값이 고정되어 있는 경우에만 사용 가능
이전 heap처럼 루트 node를 1번 인덱스로 하여 존재하는 node에 해당하는 배열에 값을 채움


장점: 구현이 쉽고, 직관적이며 값 수정 쉬움
단점: 확장 제약이 큼, 실제 자손 node들에 비해 out degree의 최대값이 너무 크면 메모리 낭비가 크다
Binary Tree가 아니면 쓸 일 없음

node를 담은 dataset과, 각 node의 자손들을 가지는 형태로 구현
unordered_map을 이용해 key값은 각 node를, value로는 각 자식 node를 가리키는 vector로 구현 가능
장점: 확장에 용이함, binary tree 아니여도 상관 없음
단점: 자식 node를 찾아갈 때 무조건 순회과정이 필요(비효율적)
전위순회(NLR), 중위순회(LNR), 후위순회(LRN)으로 3가지 존재
전위순회는 tree구조를 복사할 때 유용
중위순회는 이진탐색트리에서 정렬된 값을 얻을 때 유용
후위순회는 tree구조를 삭제할 때 유용

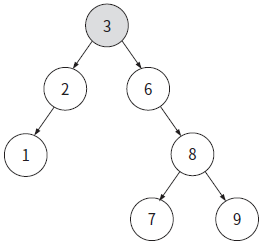
이진 트리에서 왼쪽 자식들은 부모보다 작고, 오른쪽 자식은 부모보다 큰 트리 형태
아래같은 상황(O(N))을 막기 위해 균형잡히게 트리를 수정하는데 그 예시가 set, map이 사용하는 레드블랙트리(O(logN))

완전 이진 트리 구현
C++ 코딩테스트