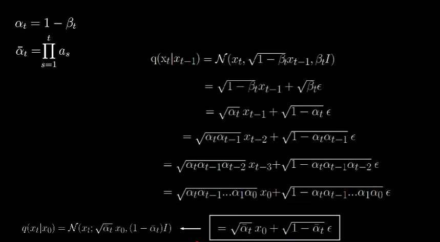
Reparameterization Trick은 확산 모델의 Forward Process에서
-> 의 과정을 한번에 하는 수학적인 기법이다.

이 수학적 기법의 핵심적인 역할은 2가지이다.
신경망은 미분 가능한 연산을 통한 Backpropagation에 의해 학습한다.
하지만 특정 분포에서 데이터를 Sampling하는 행위는
Stochastic하기에 미분이 불가능하다.

이때 이러한 수학적 기법을 통해 을 몰아 넣고,
모델의 파라미터 는 덧셈과 곱셈 연산으로만 연결되도록 하여 미분 가능하도록 한다.

특정 시점 로 한번에 점프하는 것은 순차적으로 계산할 필요 없이 곧바로 를 생성하기 때문에 U-Net 학습 시 연산 효율이 극대화 된다.