에 Penalty Term을 부여하는 방식
Penalty Term을 추가한 Regularized Model의 경우 Feature 간 Scaling이 필수

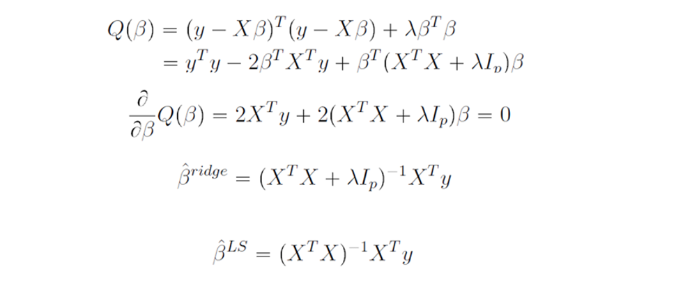
Regularization은 모델의 복잡도를 조절하여 과적합(overfitting)을 방지하는 방법
(1) - Loss Function, (2) penalty Term
: Regularization 파라미터로, 두 목적 간의 균형을 조절
만약 , 가 중요한 feature라면 penalty를 받더라도 값을 유지하고 다른 들의 값이 낮아져 최소화시킴




