woirmer.log
로그인
woirmer.log
로그인
dl-advanced HW2
willkommen!
·
2024년 6월 9일
팔로우
0
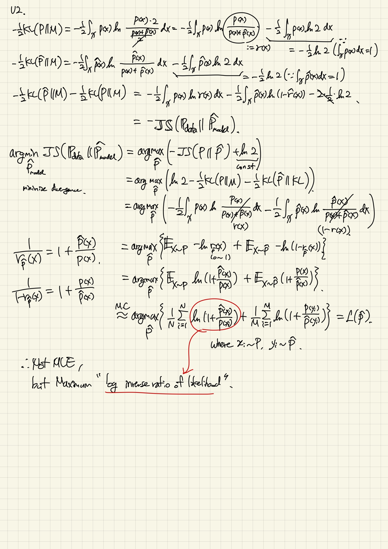
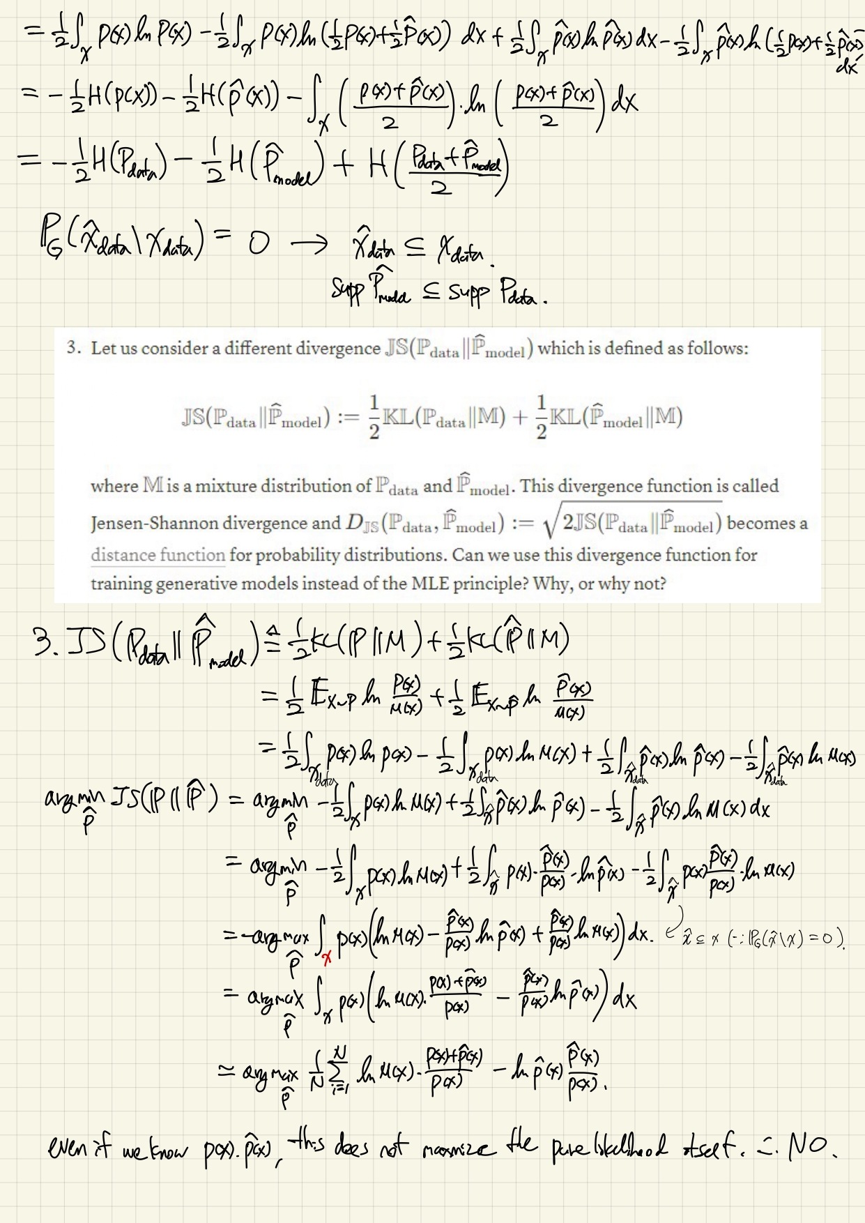
jesen-shannon divergence
dl
목록 보기
3/4
Draft version
willkommen!
통계/DS/AI 기록일지
팔로우
이전 포스트
dl-advanced Lec 2 : Probabilistic Generative Models
다음 포스트
dl advanced Lec 4 : Variational Inference
0개의 댓글
댓글 작성