
When we know the exact densities, and want to sample from it.Inverse cdf, rejection sampling, MCMC, Metropolis-Hastings Algorithm

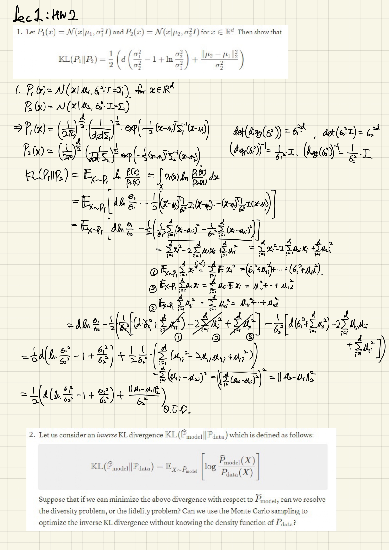
Summary : GMM, EM Algorithm, Latent Space Modeling, Measure, KL-Divergence, MLE principle of KL-Divergence

Draft version
