dl-advanced Lec 2 : Probabilistic Generative Models

willkommen!·2024년 6월 9일

dl

목록 보기
2/4

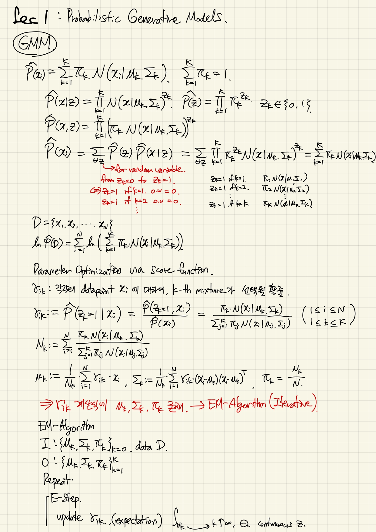
Summary : GMM, EM Algorithm, Latent Space Modeling, Measure, KL-Divergence, MLE principle of KL-Divergence



profile
통계/DS/AI 기록일지

0개의 댓글