퍼셉트론(Perceptron)이란?
퍼셉트론
은 1950년대 말, 프랭크 로젠블랫(Frank Rosenblatt)이 개발한 기계 학습 모델
로, 인공지능 발전의 첫걸음아달라인(Adaline)
이 개발됨퍼셉트론의 구조는 입력층과 출력층이라는 2개의 층으로 구성되는 단순한 구조
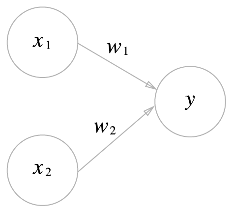
x1, x2 : 입력 신호
y : 출력신호
w1, w2 : 가중치 weight
그림에서 원은 뉴런 혹은 노드
선형적
으로 분리할 수 있는 문제에서는 매우 잘 작동하지만, 복잡한 문제를 해결하는 데에는 한계가 있다XOR 문제
다층 퍼셉트론(Multilayer Perceptron, MLP)
이 도입되었다.
다층 퍼셉트론(Multilayer Perceptron, MLP)
은 퍼셉트론의 한계를 극복하기 위해 제안된 모델- 다층 퍼셉트론은 입력층, 은닉층(hidden layer), 출력층으로 구성된 다층 신경망을 통해 복잡한 문제도 해결할 수 있다
입력층 (Input Layer)
: 입력 데이터를 받아들이는 층으로, 각 뉴런은 주어진 데이터를 모델에 전달하는 역할을 한다은닉층 (Hidden Layer)
: 입력 데이터를 처리하고 학습하는 층으로 이 층에서 복잡한 패턴이 학습된다.
은닉층이 한 개일 수도, 여러 개일 수도 있다출력층 (Output Layer)
: 예측 또는 분류 결과를 출력하는 층
출처 : https://hi-guten-tag.tistory.com/53
단일 퍼셉트론은 선형적으로 분리 가능한 문제만 해결할 수 있다.
하지만
비선형 문제
는 직선 하나로 구분할 수 없다.
이를 해결하기 위해 은닉층을 사용하여 입력 데이터를 변환하고, 이를 통해 더욱 복잡한 패턴을 학습할 수 있게 된다.
다층 퍼셉트론(Multilayer Perceptron, MLP)
은 복잡한 비선형 문제를 해결할 수 있지만, 어떻게 학습할 것인지가 중요한 과제임- MLP가 성공적으로 학습할 수 있게 만든 핵심 알고리즘이 바로
오차 역전파(Backpropagation)
오차 역전파는 출력층에서 발생한 오차를 역방향으로 전달하여 각 층의 가중치를 조정하는 방식으로 학습을 진행
이를 통해 네트워크가 입력에 따라 최적의 출력을 낼 수 있도록 가중치가 업데이트된다
오차 역전파 알고리즘은 다음과 같은 과정으로 동작
순전파(Forward Propagation)
: 입력 데이터가 입력층에서 시작하여 은닉층을 거쳐 출력층까지 전달되며, 예측 값을 계산오차 계산
: 예측값과 실제 값(정답) 사이의 차이를 측정하여 오차(손실)를 계산
이때 손실 함수(Loss Function)를 사용하여 오차의 크기를 측정역전파(Backpropagation)
: 출력층에서부터 역방향으로 오차를 전달하면서 각 뉴런의 가중치를 업데이트
이를 통해 가중치가 손실을 줄이는 방향으로 조정됨가중치 업데이트
: 경사 하강법(Gradient Descent)을 사용하여 손실 함수의 기울기를 따라 가중치를 조정해 나감
이미지 출처 : https://jominseoo.tistory.com/44
오차 역전파 알고리즘은 MLP를 학습시키는 중요한 역할을 하지만, 초기 딥러닝 연구에서 큰 문제에 직면하게 된다
그 중 하나가 기울기 소실 문제(Vanishing Gradient Problem) 이다.
기울기 소실 문제
역전파 과정에서 층이 깊어질수록, 즉 은닉층이 많아질수록 오차를 전파할 때 기울기(gradient)가 점점 작아지며, 결국 가중치 업데이트가 제대로 이루어지지 않는 문제가 발생
이 문제는 특히 시그모이드 함수와 같은 비선형 활성화 함수
를 사용할 때 심각하게 발생함
- 시그모이드 함수를 미분하면 최대치가 0.25 이므로 계속 곱하다보면 0에 가까워진다
- 따라서 여러 층을 거칠수록 기울기가 거의
0에 수렴
하며 기울기가 사라진다
이로 인해 역전파를 통해 전달되는 기울기가 사라지면서 가중치가 거의 업데이트되지 않는 문제가 발생하게 됨
- 기울기 소실 문제를 해결하기 위해 ReLU(Rectified Linear Unit) 라는 새로운 활성화 함수가 등장
이미지 출처 : https://jominseoo.tistory.com/44
ReLU
는 기울기 소실 문제를 완화하고, 특히 깊은 신경망에서 훨씬 효율적으로 학습할 수 있도록 도와줌
ReLU
: ReLU는 입력이 0 이하일 때는 0을 출력하고, 그 외에는 입력값 그대로를 출력하는 비선형 함수
ReLU의 특징:
계산이 간단하고 빠르며, 기울기 소실 문제를 해결하는 데 큰 도움을 줌
주의할 점:
- ReLU와 시그모이드는 층의 위치와 역할이 다르다
ReLU
는 이중 분류 문제의 은닉층에서 자주 사용되지만, 출력층에서는 여전히시그모이드 함
수가 사용되는 것이 일반적
딥러닝의 또 다른 문제는 속도와 정확도이다.
- 이를 해결하기 위해 고급 경사 하강법(Optimizers) 이 도입되었음
- 이러한 기법들은 단순한 경사 하강법보다 더 효율적이며, 빠르고 안정적으로 학습을 도와줌
확률적 경사 하강법(Stochastic Gradient Descent, SGD)
:모멘텀(Momentum)
:탄력
을 더해준다고 생각하면 됨Adam(Adaptive Moment Estimation)
:다층 퍼셉트론(MLP)과 비선형 문제 해결
비선형성
을 부여하여 복잡한 패턴을 학습할 수 있도록 돕는 것활성화 함수(Activation Function)
시그모이드(Sigmoid)
: 출력값을 0과 1 사이로 변환하여 이진 분류 문제에서 사용.ReLU(Rectified Linear Unit)
: 은닉층에서 자주 사용되며, 기울기 소실 문제를 해결하고 학습을 빠르게 진행.소프트맥스(Softmax)
: 다중 분류 문제에서 사용되어 각 클래스의 확률을 계산.옵티마이저(Optimizer)
경사 하강법
을 기반으로 가중치를 최적화하고, 이를 통해 손실 함수의 값을 최소화옵티마이저의 발전 과정
경사 하강법(Gradient Descent)
: 기본적인 가중치 업데이트 방식.확률적 경사 하강법(SGD)
: 전체 데이터 대신 일부 샘플을 이용해 빠르고 효율적인 학습을 가능하게 함.모멘텀(Momentum)
: 학습 방향을 안정적으로 잡아주며, 진동 문제를 해결.Adam(Adaptive Moment Estimation)
: 가장 널리 사용되는 옵티마이저 중 하나로, 학습률
을 자동으로 조정하여 빠르고 안정적으로 가중치를 최적화함.최종 요약:
활성화 함수
는 신경망의 각 층에서 입력값을 비선형적으로 변환하여, 비선형 문제를 해결할 수 있도록 돕는 역할옵티마이저
는 가중치의 업데이트에 포커스를 맞추며, 모델이 최적의 가중치를 찾도록 도와 학습의 성능을 향상- 활성화 함수 예시 : 시그모이드, ReLU, 소프트맥스 등
- 옵티마이저 예시 : SGD, 모멘텀, Adam 등의 알고리즘