결론 큰일났다.. (느낀 점, 개선해야 하는 점, 더 공부할 분야 등)

"완성된 장치가 범용 컴퓨팅 기계가 되려면 산술 연산, 기억-저장, 제어, 운영자와의 연결을 담당하는 특정 주요 기관을 포함해야 한다."아서 벅스, 허먼 골드스타인, 존 폰 노이만, 1946논리적 구성(=기능적 구성)어떤 부분들로 이루어져 있는지무슨 역할을 담당하는지어
네트워크 용어 시스템 : 내부 규칙에 따라 능동적으로 동작하는 대상 인터페이스 : 시스템과 전송 매체의 연결 지점에 대한 규격 전송 매체 : 시스템끼리 데이터를 전달하기 위한 물리적 전송 수단 프로토콜 : 전송 매체를 통해 데이터를 교환할 때의 임의의 통신 규칙 네트워
기억장치에 어떤 정보를 쓰거나 읽는 동작 순차 엑세스 : 저장된 정보를 처음부터 순서대로 액세스하는 방식eg. 자기 테이프직접 엑세스: 엑세스할 위치 근처로 직접 이동한 다음, 순차적 검색을 통해 최종 위치에 도달하는 방식eg. 디스크, cd-rom임의 엑세스: 주소에

운영체제 : 컴퓨터의 사용자와 하드웨어 사이에서 중개자 역할을 해주는 프로그램 협의의 운영체제 = 커널 : 운영체제의 핵심 부분 : 항상 메모리에 상주하는 부분 광의의 운영체제 : 커널 뿐 아니라 주변 독립적인 시스템 유틸리티 포함 운영체제 목적 : 컴퓨터 시스템

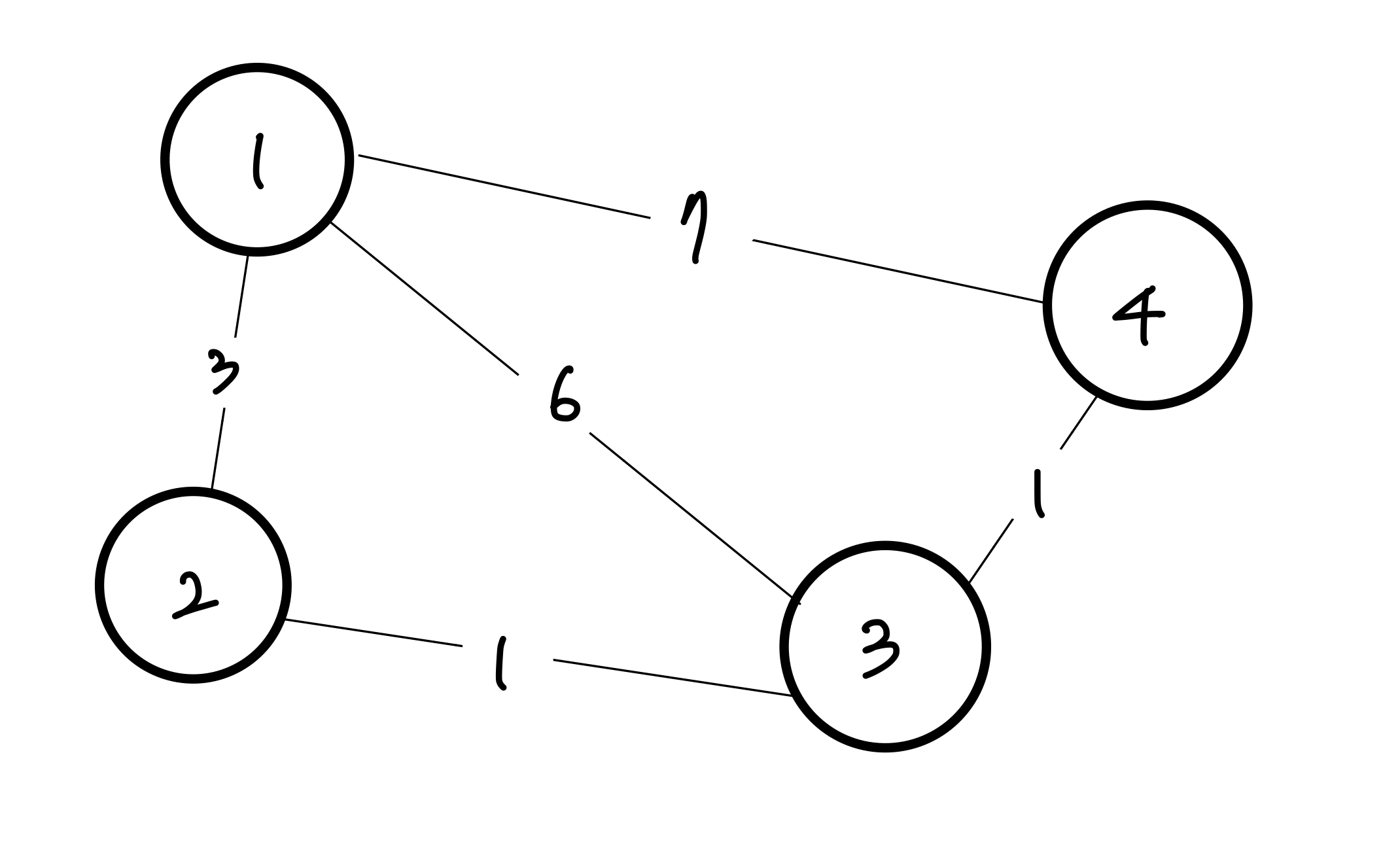
출처 : 동빈나 크루스칼 알고리즘 가장 적은 비용으로 모든 노드 연결 = 최소 비용 신장 트리를 만들기 위한 대표 알고리즘 여러 도시가 있을 때 각 도시 도로를 이용해 연결하고자 할 때 비용을 최소한으로 하고자 할 때 실제로 적용되는 알고리즈 노드 = 정점 = 도시 :

youtube:동빈나\_Dijkstra Algorithm다이나믹 프로그래밍을 활용한 대표적인 최단경로(Shortest Path) 탐색 알고리즘흔히 인공위성 GPS 소프트웨어 등에서 가장 많이 사용 특정한 정점에서 다른 모든 정점으로 가는 최단 경로를 알려줌 but 이때

출처 : 생활코딩\_DATABASE1배우기 쉬움어디에서나 사용 가능이메일을 통해 간편하게 전송가능 but 성능, 보완, 편의성에 한계를 가지고 있음이를 보완하기 위해서 고안된 전문화된 software = databaseCreateReadUpdateDelete스프레드시트

전자적(electronically:데이터가 컴퓨터에 저장)으로 저장되고 사용되는 관련있는 데이터들(related:같은 서비스안에서 생성되는 데이터)의 조직화된 집합(organized collection)database management systems사용자에게 +DB를

후보키(Candidate Key)릴레이션을 구성하는 속성들 중에서 튜플을 유일하게 식별하기 위해 사용하는 속성들의 부분집합, 즉 기본키로 사용할 수 있는 속성릴레이션에 있는 모든 튜플에 대해서 유일성과 최소성을 만족시켜야 함기본키(Primary Key)후보키 중에서 선