유한 오토마타가 하는 일을 수학적으로 나타낸다.
M = (Q, Σ, δ, q0, F)이 주어지고, 을 심볼으로 가지는 알파벳 Σ가 있다. Q를 참조하는 시퀀스 들이 다음의 조건을 만족할 때 M은 w를 recognize한다.
- and
하나씩 파고들어보자.
r0 = q0라는 말은 첫번째 상태가 시작 상태가 되어야 한다는 것을 의미한다. 시작할 때는 q0의 상태여야 한다는 소리다.
rn ∈ F라는 말은 마지막 상태가 통과 상태 중 하나가 되어야 한다는 것을 의미한다. M이 w를 recognize하려면 마지막 상태는 통과 상태여야만 하고, 그렇지 않으면 M은 w를 recognize하지 않는다.
δ(ri, wi+1) = ri+1, for i = 0, . . . , n − 1 가 복잡하게 느껴질 수 있는데, 이해하면 간단하다. δ라는 함수 안에 i번째 상태를 넣고, i+1번째 심볼을 넣으면 i+1번째 상태가 된다는 소리다. 이해가 어려운가? 지금 상태와 다음 심볼을 넣으면 다음 상태가 된다는 의미랑 똑같다. 상태가 바뀌는 것은 순차적으로 이루어져야 하며, δ라는 함수에 넣었을 때 예외가 나와서는 안된다는 소리이기도 하다.

| 0 | 1 | |
|---|---|---|
| q1 | q1 | q2 |
| q2 | q1 | q2 |
이런 예시가 있다고 해보자.
w = 0110011일때
1. r0 = q1(시작 상태)
2. δ(ri, wi+1) = ri+1, for i = 0, . . . , n − 1
(r0(q1), w1(1)) = r1(q2), (r1(q2), w2(1)) = r2(q2) 등등..
3. r7(q2) ∈ F = {q2}.
M = (Q, Σ, δ, q0, F)이 주어지고, w = w1w2 · · · wn을 심볼으로 가지는 알파벳 Σ가 있다. Q를 참조하는 시퀀스 r0, r1, . . . , rn 들이 다음의 조건을 만족할 때 M은 w를 recognize한다.
어떠한 유한 오토마나가 recognizes하는 language를 regular language라고 한다.
E2는 001을 포함하는 regular language를 recognize한다.
예를 들어, 0010, 1001, 001, 11101100011111은 통과하지만, 11, 0000은 통과 못한다.
001이 나오면, 이후 나오는 모든 과정을 스킵한다.
0이 나오면, 001의 첫번째이므로 지나간다.
다음 1이 나왔을때, 0이 부족하므로 처음으로 돌아간다.
다음 0이 나오면, 001의 두번째이므로 지나간다.
이제 001이 될때까지(1이 나올때까지) 반복한다.
만약 001이 나왔으면, 그 string을 recognize하는 거다.
그러므로 4개의 가능성이 있다.
1. 처음 상태(아무거나 나와야함)
2. 0을 본 상태
3. 00을 본 상태
4. 001을 본 상태
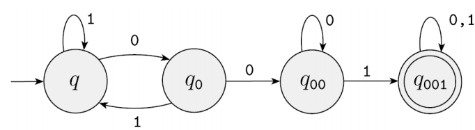
이로 인해 상태 q, q0, q00, q001이 있다는 것을 알 수 있다.
q에서 1을 만나면 다시 자신으로 돌아오고, 0를 만나면 q0로 간다.
q0에서 1을 만나면 q로 돌아가고, 0을 만나면 q00로 간다.
q00에서 1을 만나면 q001로 가고, 0를 만나면 자신으로 돌아온다.
q001은 0이든 1이든 자신으로 돌아온다.
E2 = ({q, q0, q00, q001}, {0,1}, δ, q, {q001})
| 0 | 1 | |
|---|---|---|
| q | q0 | q |
| q0 | q00 | q1 |
| q00 | q00 | q001 |
| q001 | q001 | q001 |
