Pushdown Automata
- 우리가 새로운 language를 배웠으므로 이에 상응하는 새로운 컴퓨터의 모델이 나온다.
- Context-Free language를 나타내는 Automata가 바로 Pushdown Automata다.
- Pushdown Automata는 NFA와 비슷하지만 추가로 stack을 하나 가지고 있다.
- stack은 유한한 정보의 공간을 가지고 있다.
- stack은 non-regular language들이 pushdown automata를 recognize하도록 도와준다.
- Pushdown automata의 power는 context-free grammar와 동일하다.
- 위의 정의는 유용한데, context-free language에 대해서 context-free grammar로 나타내든 pushdown automata로 나타내는 동일하기 때문이디.
Pushdown Automata의 구성요소와 설명
- Pushdown Automata는 다음 3가지를 가진다.
- input tape
- state control
- stack
- state control은 input을 읽고 stack을 조정한다.
- input tape는 input string과 head를 나타내는 arrow를 가지고 있다. arrow를 통해서 다음 읽을 input symbol을 가리킨다.

- 추가로 stack을 가지고 있다. stack또한 tape와 비슷한 모양이다.

- pushdown automaton(PDA)는 symbol을 stack에 쓰고 읽을 수 있다. 다시 말해 push와 pop을 할 수 있다.
- stack에서 push는 stack의 맨 위에 symbol을 넣는다. 이를 pushing이라고 한다.
- stack에서 pop은 stack의 맨 위의 symbol을 읽어온다(읽고 꺼낸다). 이를 popping이라고 한다.
- stack이 유용한 것은 unlimited(infinite)한 정보를 저장할 수 있다는 점이다.
- input이 끝났을 때 stack이 empty하면 input을 accept한다.
- input이 끝났을 때 stack이 empty하지 않거나 stack이 empty할 때 input이 남았으면 input을 reject한다.
State diagram of PDA
- "a,b−>c"는 input으로 a가 들어오면 stack의 제일 위에 있는 symbol b를 c로 바꾸라는 뜻이다.
- a,b,c에 대해서 가능하며 심지어 ε에 대해서도 가능하다.
- a가 ε이면, input에서 어떤 symbol을 읽기 전 b−>c를 수행한다는 뜻이다.
- b가 ε이면, stack에 c를 push한다.
- c가 ε이면, stack에서 b를 pop한다.
- PDA는 empty state를 확인하는 방법을 달리 만들어 놓지 않았다. 그러므로 $를 이용한다.
- $는 input string에 없는 특별한 symbol이다.
- 맨 처음에 stack에 $를 push한다.
- stack에서 $를 pop한다는 뜻은 empty state를 확인하는 방법이다. 만약 empty state가 아니라면 $는 pop되지 않을 것이기 때문에 empty state를 확인할 수 있다.
Example
{0n1n∣n≥0}
- 0이 들어올 때마다 stack에 0을 push한다.
- 1이 들어올 때마다 stack에서 0을 pop한다.
- input이 끝났을 때 stack에 0이 없어 empty하다면 input을 accept한 것이다.
- input이 끝났을 때 stac에 0이 남아있거나, stack이 empty되었는데 input이 남았으면 input을 reject한다.

000111
- q1−>q2 / ε,ε−>$, input : 000111, stack : $
- q2 / 0,ε−>0, input : 00111, stack : 0$
- q2 / 0,ε−>0, input : 0111, stack : 00$
- q2 / 0,ε−>0, input : 111, stack : 000$
- q2−>q3 / 1,0−>ε, input : 11, stack : 00$
- q3 / 1,0−>ε, input : 1, stack : 0$
- q3 / 1,0−>ε, input : , stack : $
- q3−>q4 / ε,$−>ε, input : , stack :
00011
- q1−>q2 / ε,ε−>$, input : 00011, stack : $
- q2 / 0,ε−>0, input : 0011, stack : 0$
- q2 / 0,ε−>0, input : 011, stack : 00$
- q2 / 0,ε−>0, input : 11, stack : 000$
- q2−>q3 / 1,0−>ε, input : 11, stack : 00$
- q3 / 1,0−>ε, input : , stack : 0$
input이 끝났을 때 stack이 남아있으므로($가 pop되지 않음)
- PDA는 FA와 유사하지만, stack이 추가된 형태이다.
- 이 stack의 역할은 symbol들을 저장하는 역할이다.
- input alphabet ∑과 stack alphabet Γ를 가진다.
- ∑ε=∑∪{ε}
- Γε=Γ∪{ε}
- transition function의 공역은 Q∗∑ε∗Γε
- 현재 상태, 다음에 들어올 input symbol, stack의 top symbol에 따른 pushdown automata의 움직임을 말해준다.
- state와 stack을 결정해야 한다. 그러므로 Q∗Γε
- δ:Q∗∑ε∗Γε→P(Q∗Γε)
Pushdown automaton 는 6-tuple (Q,Σ,Γ,δ,q0,F)이다. Q,Σ,Γ,F은 유한집합이다.
1. Q는 상태의 집합
2. Σ는 input alphabet
3. Γ는 stack alphabet
4. δ:Q∗∑ε∗Γε→P(Q∗Γε)는 transition function
5. q0∈Q는 start state
6. F⊆Q는 accept state들의 집합이다.
M=(Q,Σ,Γ,δ,q0,F)는 다음을 따른다.
- input w는 w=w1w2⋅⋅⋅wm,wi∈Σε 로 정의할 수 있다.
- 상태들의 sequnce는 r0,r1,...,rm∈Q로 정의할 수 있다.
- string들은 s0,s1,...,sm∈Γε∗로 정의할 수 있다.
Strings si가 M에 대해서 accept string이라면 아래를 따른다.
- r0=q0이며, s0=ε이다. M은 시작상태에서 시작하며 stack이 비어있어야 한다.
- i=0,...,m−1에 대해서, (ri+1,b)∈δ(ri,wi+1,a)를 따라야 한다. 이때 a,b∈Γε와 t∈Γ∗ 에 대해서 si=at 이며 si+1=bt이다. 이 말은 transition function을 따라서 다음 input이 왔을때, 현재 stack top에 따라서 state와 stack top을 바꾸라는 뜻이다.
- rm∈F이다. input이 끝날 때 통과상태여야한다.
Example
- {0n1n∣n≥0}
- M1=(Q,Σ,Γ,δ,q1,F)이다.
- Q=q1,q2,q3,q4
- Σ=0,1
- Γ=0,$
- F=q1,q4
- δ는 아래와 같으며, 공백은 ∅과 같다.

위와 똑같은 state diagram이다.

Equivalence with Context-free Grammars
- 앞에서 power가 같은 여러개가 있었다.
- DFA = NFA = Regular language등등...
- 이와 비슷하게, Context-free Grammer와 Pushdown automata는 power가 같다.
어떤 language가 context free하면 recognize하는 pushdown automaton이 존재한다. 역도 같다.
Proof
어떤 language가 context free하면 recognize하는 pushdown automaton이 존재한다.
- A를 CFL(Context Free Language)라고 하자.
- A를 통해 CFG(Context Free Grammer)를 그릴 수 있다. 이를 G라고 하자.
- G가 동일한 역할을 하는 PDA(PushDown Automata)를 P라고 하고 바꾸어보자.
- P는 입력 w를 accepting한다. 이 w는 G로부터 만들어졌으며, 여러가지 derivation이 있다.
- 각각의 derivation을 할 때 마다 intermediate string와 variable들을 넣어준다.
- P는 처음에 start variable을 stack에 push한다.
- P는 start variable을 넣은 후 intermediate string을 넣어준다.
- 우리는 P에서 중간에 있는 string을 확인해야 할 때가 있다. 그러나 PDA는 중간에 있는 string을 확인할 방법이 없다.
- 이를 위해 모든 것을 stack에 저장하지 말고 일부만 저장한다.
- 완전히 저장하지 않는 것은 아니며 저장했다가 바로 빼는 과정을 거친다.
- 이 과정을 통해 start variable을 stack의 위로 끌어올릴 수 있으며, derivation을 통해 원하는 값을 얻을때까지 반복한다.
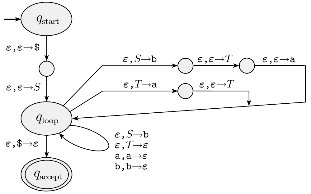
Example
Grammer G는 다음과 같은 Rule을 가진다.
S→aTb∣b
T→Ta∣ε
- Stack에 $와 start variable S를 넣는다.
- 아래의 규칙에 따라 반복한다.
- 만약 stack top이 start variable S라면, S에 대한 규칙을 하나 골라서 S를 context-free grammer의 오른쪽에 해당하는 값으로 바꾼다.
- 만약 stack top이 variable T라면, T에 대한 규칙을 하나 골라서 T를 context-free grammer의 오른쪽에 해당하는 값으로 바꾼다.
- 만약 stack top이 variable a∣b라면, a∣b를 pop한다.
- 만약 stack top이 $라면, stack이 전부 읽혀졌을 때 accept한다.
- 이제 PDA P=(Q,Σ,Γ,δ,q1,F)를 정의할 수 있다.
- Q=qstart,qloop,qaccept이다.
- Step1 : qstart→qloop인 ε,ε→S$를 만든다.
- Step2 : qloop에 여러가지 rule에 따라서 해야할 행동들을 적어준다.
- 기본적인 Rule은 derivation으로 만든다.
- derivation을 만들 때 여러개를 push해야하면 뒤에 있는 것 부터 push한다.
- S→aTb일 때
- ε,S→b
- ε,ε→S
- ε,ε→a
- push가 끝나면 qloop로 돌아온다.
- 각각의 symbol에 대해서 새로운 rule을 추가해준다. symbol을 pop해주는 rule이다.
- a,a→ε
- b,b→ε
- Step3 : qloop→qaccept인 ε,$→ε를 만든다.

어떤 pushdown automaton이 있으면 recognized하는 context free한 language가 존재한다.
모든 regular language는 context free language이다.
