선형대수학 챕터는 다루는 개념이 많아서 포스팅을 나누려고 합니다.
이번 챕터에서 가장 중요한 개념은 아래 3가지입니다.


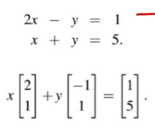
같은 변수들을 포함하는 선형 방정식이 1개 이상 있는 집합
아래 두 선형 방정식은 선형 방정식 계라고 할 수 있음

방정식 계는 해의 집합에 따라 2 종류로 나눌 수 있음
(1) Inconsistent : no solution. (해가 없는 경우)
(2) Consistent : exactly one solution, infinitely many solution. (해가 1개인 경우, 해가 무수히 많은 경우)
선형에서는 위처럼 3개 상황밖에 존재하지 않음.
즉, 만일 해가 2개 존재한다는 건 비선형이라는 거임


예를 들어서, 엑셀에 (키, 몸무게, 발사이즈) 라는 3개의 컬럼이 있다면,
행렬로
키 몸무게 발사이즈
[180, 80, 260] 으로 표현할 수 있는 것임


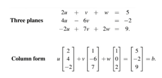
소거법이란 해를 찾아가는 방법 중 하나입니다.




가우스 소거법에서 할 수 있는 기본 행 연산은 아래와 같습니다.
즉, 아래 그림에서 볼 수 있듯이,
1번에선 3을 곱하였고(scaling), 2번에선 두 행을 더함으로써(replacement),
변수 x를 소거할 수 있음

-> 이 말은 즉슨, 상/하 삼각행렬을 만들면 해를 찾을 수 있음
(스칼라가 0이면 변수가 소거되고, 아래 또는 위에서부터 변수가 하나씩 도출되므로)

(1) 선형 방정식 계를 행렬로 표현하기

(2) 행의 계수를 0으로 만들기 (중학교때 배운 2,3차 연립방정식 풀이 과정과 동일)


(3) 상삼각행렬 완성!

(4) x3을 알았으므로, 대입을 해서 x1, x2를 구하면 됨!
다음 포스팅에 이어서...