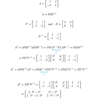
아래 그림처럼, 대각 행렬의 제곱은 대각 성분의 제곱이므로, 연산이 매우 간단해짐!
즉, 대각화는 연산을 단순하게 해주는 데 목적이 있다고 할 수 있습니다.

이 말은 즉슨,
정사각행렬 A가 대각 행렬과 유사(similar)하다면 A를 대각화 가능(diagonalizable) 하다고 합니다.
A가 대각행렬(D)과 유사한지 판별하는 공식은 아래와 같습니다.

아래는 공식을 증명하는 과정입니다.


(1) 행렬의 고유값 찾기

(2) 행렬의 고유벡터 찾기
각 고유값에 대해 고유 벡터들을 구합니다.

(3) 고유값으로 P를 구성하기

(4) 행렬 대각화하기
위에서 구한 고유값으로 행렬 D를 구성

대각화를 하는 이유
고유값과 고유벡터를 쉽게 구하기 위해서
고유값과 고유벡터를 구하는 이유
특정 행렬이 영향을 미치는 값과 그 벡터를 구하기 위해서...
다음 포스팅에 이어서...